数值计算方法【误差和有效数字】(1/7)
引论绝对误差和相对误差x*是准确值x的一个近似值,则绝对误差e(x*)=x-x*,在不混淆的情况下,记为e*。相对误差是绝对误差与准确值的比值,即
引论
目录
一.绝对误差和相对误差
先来看四个定义:
- x*是准确值x的一个近似值,则绝对误差e*=x-x*。
- 相对误差是绝对误差e*与准确值x的比值,但公式为
。 - |e*|=|x-x*|
*,
*为绝对误差限。
-
相对误差限:

对以上定义做以下解释:
- 误差error,相对relative
- 由于准确数值x总是不知道的(不然也不必用近似值了),相对误差公式中分母x改为x*表示。
- 误差有限度,这样才不影响生产生活使用。常常看到误差写为
多少,就是说有上下限,于是用误差的绝对值不超过这个限度来表示合乎规范。
- 相对误差是为了解决绝对误差衡量精度不合理的情况而产生的。比如1m差1mm和1km差1mm,显然后者绝对误差大得多,但是后者的精度却更高,应用相对误差衡量。
二.有效数字
有效数字是中学常见的知识,读数的规则是:从第一个不是零的数字开始往后数,有几位数字就是几位有效数字。这个方法在大学数学计算方法这门课里绝不能用!
有效数字的定义用文字表述是这样的:如果近似数的绝对误差不超过它某位数字的半个单位,那么从左到右,第一个不为零的数字起,到这位数字止,每一位数字都称为有效数字。
而用数学表示是这样的:
设数x的近似值
,但
,若
,则称x*为x的具有n位有效数字的近似值,x*准确到第n位。
如果觉得这样不好理解,我建议在数学公式的基础上加入一些文字表述,并通过例题认识。在
这个公式中,m其实表示的是x*的整数位数,n是我们想要知道的有效位数,而m-n表示的是x-x*的第一个不为0的小数位数-1。
例题:以
作为圆周率π的近似值,有几位有效数字?
此时用中学的方法就失效了,因为这是一个无限小数,你数不到头。
|π-
|=|3.141592…-3.142857…|=0.001264…<0.005(
)
m-n=-2,m为整数位数,只有3是整数部分,所以m=1,可以得出n=3,有3位有效数字。
通过这道题可以总结一个快速做选择题的结论:想要知道b作为a的近似值有几位有效数字,将a和b在第一个不同的小数位的后一位上四舍五入得到c和d,那么c和d有多少个相同数字,就有几个有效数字。
比如这道题,3.142857…中从2开始与π不同,所以四舍五入后得到3.143,而π四舍五入后为3.142,二者有3个相同位,则有3个有效数字。而3.142作为π的近似值,有4位有效数字。
对有效数字进一步说明:
- 若用四舍五入取准确值的前n位x*作为近似值,则x*必有n个有效数字。(注意和上一条结论的区别,上一条结论是用b作为a的有效数字,而这里没有另一个数字b,是直接对准确值四舍五入。)
- 准确值被认为具有无穷多位有效数字。
- 有效数字位数相同的两个近似数,绝对误差不一定相同。如12345和12.345,有效位数都是5位,但是精度显然不同。
- 由上条说明可知,移动任何数的小数点,不影响其有效位数。
由上述说明你是否有一点疑问:我们知道有效数字的作用就是工程测量中确定精度。12345和12.345显然后者精度更高,有效数字却是一样的,这样有效数字岂不是不能确定精度了?由误差的知识点可以知道,精度应该由相对误差衡量。那有效数字和相对误差又有什么关系呢?
若x的近似值
有n位有效数字,则其相对误差
。
证明如下:
![]()
![]()
![]()
![]()
不通过数学证明理解一下:相对误差的作用是消除准确数据大小对误差的扩大效果。相比于绝对误差
,要在分母上除以x*。但是x*的小数位过多,索性取第一位。化简结果就是:m被消掉了,分母留下一个0.x1。分子分母同时乘10以后,得到指数-(n-1)。
观察公式可得结论:有效数字位数n的增加可以提高精度。绝对误差与小数点后的位数有关,相对误差与有效数字的位数有关。
这样,尽管12345和12.345的有效数字位数一致,但是当他们各自增加有效数字位数时(比如12.3456)都能提高精度。
三.数值运算误差分析
近似数参加运算后得到的值一般也是近似值,这一现象称为误差传播。泰勒展开是估计误差的最基本方法。
一元函数:
,![]()
多元函数:
,
用泰勒公式推导的过程非常简单,就是函数展开后去掉高阶。现在我们用一个较土的方法理解一下公式:函数的导数f'(x)相当于单位长度函数值的改变量,x*的绝对误差限则是有多少个这样的单位长度,二者相乘得到函数值的改变量。而函数的相对误差则是在绝对误差的基础上除以该函数本身。多元函数同理。
知道了函数运算误差以后,我们可以把算数运算看成多元函数,求解算数运算误差。
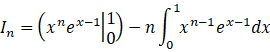
如和式![]()
省略求解过程,直接写出结论有:

![]()
文字表述为:和的绝对误差不超过各加数的绝对误差之和。和的相对误差不超过相加各数中最不准确一项的相对误差。
![]()

可见:算数运算误差的计算方法很像求导方法,只需要加一个补丁,即绝对误差限和相对误差限不允许出现负数,所以一切求导时应该为负的地方都逆号。
四.减小误差运算
先来看一个比较经典的例子。


根据这个递推式,可以计算任意的
,但是我们再计算一下放大的误差,得到

可以看出误差是逐渐放大的,这样的数据就不具有稳定性。
另一个经典例子是这样的。

由分部积分法有:

![]()
每算出前一个数
,它的误差会放大n倍后传递给后一个数
。
为了提高这个算式的稳定性,我们可以做如下处理:![]()
每算出后一个数
,它的误差会缩小n倍后传递给前一个数
。具有稳定性。
在分析减小运算误差的方法时,应该考虑以下原则:
- 两个相近的数相减,会严重损失有效数字。
- 防止大数吃小数。
- 绝对值太小的数不宜为除数。
- 简化计算步骤,减少运算次数。
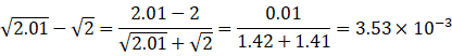
(1)比如1.42-1.41=0.01,原本3位有效数字相减后只剩下1位。为了避免这个情况,往往需要对具有减法运算的公式改变计算方法。如通过因式分解、分母有理化、三角公式、泰勒展开等。
下面是一些常见的变换例子。

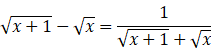
当
和
接近时,
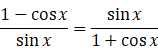
当x接近0时,
当x充分大时,


当两函数运算结果很接近,且需要做绝对误差运算而出现函数值相减时,可以用泰勒展开。取右端的有限项近似左端。

(2)(默认大家掌握计算机C语言相关原理,因为数值计算这门课要用到C语言实现计算方法,属于必修课)计算机的位数有限,在对阶的过程中可能损失掉小数的有效位数。比如0.8153,对阶过程中可能变为:
。
(3)除法的运算误差公式为:
,如果除数绝对值太小,会导致绝对误差很大。
(4)简化运算步骤,减少运算次数不用多说。每多进行一次运算,就多一分累积误差的风险,所以要尽量优化代码和算法。
DAMO开发者矩阵,由阿里巴巴达摩院和中国互联网协会联合发起,致力于探讨最前沿的技术趋势与应用成果,搭建高质量的交流与分享平台,推动技术创新与产业应用链接,围绕“人工智能与新型计算”构建开放共享的开发者生态。
更多推荐



所有评论(0)