EMC常见术语-dB、dBm、dBw以及如何计算
在高频率的电振荡中,磁电互变甚快,能量不可能全部返回原 振荡电路,于是电能、磁能随着电场与磁场的周期变化以电磁波的形式向空间传播出去,不需要介质也能向外传递能量,这就是一种辐射。无线电波的多径效应是指信号从发射端到接收端常有许多时延不同、损耗各异的传输路径,可以是直射、反射或是绕射,不同路径的相同信号在接受端叠加就会增大或减小接收信号的能量的现象。在传播路径上,无线电波遇到地形不平、高低不等的建筑
1. 手把手教:如何计算dB、dBm、dBw……
dB应该是无线通信中最基本、最习以为常的一个概念了。我们常说“传播损耗是xx dB”、“发射功率是xx dBm”、“天线增益是xx dBi”……
有时,这些长得很像的dBx们可能被弄混,甚至造成计算失误。它们究竟有什么区别呢?

这事不得不先从dB说起。
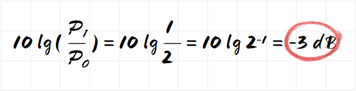
而说到dB,最常见的就是3 dB 啦!
3 dB在功率图或误码率图中经常出现。其实,没什么神秘的,下降3 dB就是指功率下降一半,3 dB点指的就是半功率点。

+3 dB表示增大为两倍,-3 dB表示下降为1/2。这是怎么来的呢?
其实很简单,让我们一起看下dB的计算公式:

dB表示功率P1相对于参考功率P0的大小关系。如果P1是P0的2倍,那么:

如果P1是P0的一半,那么:

关于对数的基本概念及运算性质,大家可以自行回顾下高一数学。。。

现在出道题来检验下你的理解程度:
【问】功率增大为10倍,用?dB表示

这里请大家记住一个口诀。记住了这个口诀,你基本就可以横着走路了。

+3 dB,表示功率增加为2倍;+10 dB,表示功率增加为10倍。
-3 dB,表示功率减小为1/2;-10 dB,表示功率减小为1/10。
可见dB是个相对值,它的使命就是把一个很大或者很小的数,用一个简短的形式表达出来。

这可以极大的方便我们计算和描述。尤其是绘制表格的时候,大家可以自行脑补下,没换算成dB前,这么多的0,坐标轴得拉到外太空了吧。。。
1.1.DB家族
理解了dB,你只能横着走,理解了dB家族的其它成员,你就可以躺赢了。

我们还是从最常用的dBm、dBw来说。
dBm、dBw就是把dB公式中的参考功率P0分别换成1 mW、1 W:

1 mW、1 W都是确定的值,因此dBm、dBw都可以表示功率的绝对值。
直接上个功率换算表供大家参考。

这里,我们要记住:
1 W = 30 dBm。
简化口诀是“30是基准,等于1 W整”。
记住了这条,再结合前面的“加3乘2,加10乘10;减3除2,减10除10”,你就可以进行很多口算了。

赶紧出道题来检验下。
【问】44 dBm=?W

你算对了吗?
这里我们需要注意,等式右侧除了30 dBm,其余的拆分项都要用dB表示。也就是说,用一个dBx减另一个dBx时,得到的结果用dB表示。
[例] 如果A的功率为46 dBm,B的功率为40 dBm,可以说A比B大6 dB。
[例] 如果A天线为12 dBd,B天线为14 dBd,可以说A比B小2 dB。

例如,46 dB表示P1为P0的4万倍,46 dBm则表示P1的值为40 W。符号中仅仅差了一个m,代表的含义可完全不同。
dB家族中常见的还有dBi、dBd、dBc。它们的计算方法与dB的计算方法完全一样,表示的还是功率的相对值。
不同的是,它们的参考基准不同,即分母上的参考功率P0所代表的含义不同。

一般认为,表示同一个增益,用dBi表示出来比用dBd表示出来要大2.15。这个差值是两种天线的不同方向性导致的,这里咱们就不展开说了。
此外,dB家族不仅可以表示功率的增益和损耗,还可以表示电压、电流、音频等,大家要具体场景具体应用。
需要注意的是,对于功率的增益,我们用10lg(Po/Pi),对于电压和电流的增益,要用20lg(Vo/Vi)、20lg(Io/Ii)。

多的这个2倍是怎么来的呢?
这个2来源于电功率转换公式的平方上。对数里面的n次方,计算后对应的就是n倍啦。

关于功率和电压、电流的转换关系,大家可以自行温习下初中物理。。。

最后,小编整理了一些主要的dB家庭成员,供大家参考。
相对值:


最最后,我们再来出两道题检验下大家的成果。
30 dBm的功率是()
A. 1 W
B. 10 W
C. 1 mW
D. 10 mW
答案 :A
假定小区输出总功率为46 dBm,在2天线时,单天线功率是( )
A. 46 dBm
B. 43 dBm
C. 23 dBm
D. 40 dBm
答案:B
2. 射频通信基础知识,通俗易懂!
2.1 电磁波
电磁波是能量的一种,凡是高于绝对零度的物体,都会释出电磁波。电与磁可说是一体两面,电流会产生磁场,变动的磁场则会产生电流。变化的电场和变化的磁场构成了一个不可分离的统一的场。
在低频的电振荡中,磁电之间的相互变化比较缓慢,其能量几乎全部返回原电路而没有能量辐射出去;在高频率的电振荡中,磁电互变甚快,能量不可能全部返回原 振荡电路,于是电能、磁能随着电场与磁场的周期变化以电磁波的形式向空间传播出去,不需要介质也能向外传递能量,这就是一种辐射。

2.2 直射波
类比:在桌球这项运动中,很多规律很像电磁波的规律。假若直接撞击球中心打出去的时候假使没有任何阻挡,球将沿直线运行,好比直射波。

由发射天线沿直线到达接收点的无线电波,被称为直射波。自由空间电波传播是电波在真空中的传播,是一种理想传播条件。电波在自由空间传播时,可以认为是直射波传播,其能量既不会被障碍物吸收,也不会产生反射或散射。
2.3反射波
类比:我们还以桌球运动为例,如果打出的球碰到的桌边,它就按照反射角等入射角的规律运行,好比反射波。
应用:在高速铁路无线覆盖选站的时候,要关注无线电波的入射角问题。备选站址不能太远,否则入射角太大,进入车厢内的折射能力就减少,一般会选取离铁路100米左右的站址。
无线信号是通过地面或其他障碍物反射到达接收点的,称为反射波。反射发生于地球表面、建筑物和墙壁表面。反射波是在两种密度不同的传播媒介的分界面中才会发生,分界面媒质密度差越大,波的反射量越大,折射量越小。波的入射角越小,反射量越小,折射量越大。
2.4 绕射波
类比:再以桌球运动为例,假如在击球之后,母球和另一个球相切,根据力度和方向,它可以绕过视距内球,就很像绕射;
当接收机和发射机之间的无线路径被尖利的边缘阻挡时,无线电波绕过障碍物而传播的现象称为绕射。绕射时,波的路径发生了改变或弯曲。由阻挡表面产生的二次波散布于空间,甚至于阻挡体的背面。绕射损耗是各种障碍物对无线电波传输所引起的损耗 。
2.5 散射波
类比:还是以打桌球为例(∇*),假设在一个范围内的很多球的彼此间距不超过一个球,当母球打到这些球中间,会激起很多球向不同方向运动,很像散射。
当无线电波穿行的介质中存在小于波长的物体,且单位体积内阻挡体的个数非常巨大时,发生散射;散射波产生于粗糙表面,小物体或其他不规则物体。在实际的通信系统中,树叶、街道标志和灯柱等会引发散射。
2.6趋肤效应
类比:下大雨后,泥土路中间积满了水,大家只好沿着路边排队通过。路的有效通过面积由于积水而减少,影响了人们的出行效率。
由于导体内部的感抗对交流电的阻碍作用比表面更大,交流电通过导体时,各部分的电流密度不均匀,导体表面电流密度大(减少了截面积,增大了损耗),这种现 象称为趋肤效应。交流电的频率越高,趋肤效应越显著,频率高到一定程度,可以认为电流完全从导体表面流过.实际应用:空心导线代替实心导线,节约材料;在高频电路中使用多股相互绝缘细导线编织成束来削弱趋肤效应。

2.7多径效应
类比:小时候玩泥巴,在一个小土堆的顶端倒水,水从四处流开,很多水都渗在土里或者流到不同方向损失掉了,有部分水流通过不同路径、不同时间汇到一个低洼的地方。
无线电波的多径效应是指信号从发射端到接收端常有许多时延不同、损耗各异的传输路径,可以是直射、反射或是绕射,不同路径的相同信号在接受端叠加就会增大或减小接收信号的能量的现象。

2.8 阴影效应
类比:和煦的阳光普照大地的时候,树木、房屋就有影子,这个影子不是完全的黑暗,是一种强度减弱很多的光。
在传播路径上,无线电波遇到地形不平、高低不等的建筑物、高大的树木等障碍物的阻挡时,在阻挡物的后面,会形成电波信号场强较弱的阴影区,这个现象就叫做阴影效应。

2.9 菲涅尔区
类比:有时候,人眼最有效的视力范围也是一个椭球体。椭球体之外的东西虽然也能看到,但是已经不是特别的清晰。一个训练有素的射击运动员,他的有效视力范围一定集中在他和目标的半径非常小的椭球体内。

菲涅尔区是一个椭球体,收发天线位于椭球的两个焦点上。这个椭球体的半径就是第一菲涅尔半径。在自由空间,从发射点辐射到接收点的电磁能量主要是通过第一菲涅尔区传播的,只要第一菲涅尔区不被阻挡,就可以获得近似自由空间的传播条件。
为保证系统正常通信,收发天线架设的高度要满足使它们之间的障碍物尽可能不超过其菲涅尔区的20%,否则电磁波多径传播就会产生不良影响,导致通信质量下降,甚至中断通信。
2.10 慢衰落和快衰落
类比:在股市下降过程中,虽然其分时曲线波动剧烈,但是5周线变化比较缓慢;另一种情况下,股价的分时瞬时值变化剧烈,很像快衰落。
无线电波传播过程中,信号强度曲线的中值呈现慢速变化,叫做慢衰落。慢衰落反映的是瞬时值加权平均后的中值,反映了中等范围内数百波长量级接收电平的均值变化,一般遵从对数正态分布。

慢衰落产生的原因:
1)路径损耗;
2)阴影效应导致的信号衰落等。
快衰落就是接收信号场强值的瞬时快速起伏、快速变化的现象。快衰落是由于各种地形、地物、移动体引起的多径传播信号在接收点相叠加,由于接收的多径信号的 相位不同、频率、幅度也有所变化,导致叠加以后的信号幅度波动剧烈。在移动台高速运行的时候,接收到的无线信号的载频范围随时间不断变化,也可引起叠加信 号幅度的剧烈变化。

一般快衰落可以细分为:
1)多径效应引起空间选择性衰落,即不同的地点、不同的传输路径衰落特性不一样;
2)载波频率的变化引起载波宽度范围超出了相干带宽的范围,引起的信号失真,叫做频率选择性衰落;
3)多普勒效应或多径效应可以引起不同信号到达接收点的时间差不一样,超过相干时间,引起的信号失真叫时间选择性衰落。
DAMO开发者矩阵,由阿里巴巴达摩院和中国互联网协会联合发起,致力于探讨最前沿的技术趋势与应用成果,搭建高质量的交流与分享平台,推动技术创新与产业应用链接,围绕“人工智能与新型计算”构建开放共享的开发者生态。
更多推荐


所有评论(0)