机器学习(6)过度拟合与正则化
过度拟合与正则化过度拟合1.什么是过度拟合由图所示:第一张图,只用的一阶多项式,不能很好的拟合数据集,这种情况称为 欠拟合第二张图,用的二阶多项式,比较好的拟合了数据集。第三张图,比较极端,为了完全更好的拟合数据集,使用了四阶多项式。很明显它只对现有样本做了很好的拟合,而并不能很好地泛化,这样的问题,我们称之为过渡拟合。(泛化:指的是一个假设模型能够应用到新样本的能力)下图案例也是:第三张图的模型
过度拟合与正则化
过度拟合
1.什么是过度拟合
由图所示:
第一张图,只用的一阶多项式,不能很好的拟合数据集,这种情况称为 欠拟合
第二张图,用的二阶多项式,比较好的拟合了数据集。
第三张图,比较极端,为了完全更好的拟合数据集,使用了四阶多项式。很明显它只对现有样本做了很好的拟合,而并不能很好地泛化,这样的问题,我们称之为过渡拟合。(泛化:指的是一个假设模型能够应用到新样本的能力)
下图案例也是:
第三张图的模型太过于复杂了。
总之,在假设模型是,要尽可能的简单,不能为了拟合数据,假设高阶次,多参数,过于复杂的模型,使其不能不具有好的泛化功能。
2.过度拟合的解决思路
一是减少特征量。但也会造成一些特征没被使用导致预测不准。
二是正则化。主要思想是尽可能的减少参数θ的取值,它可以让每个特征都参与到结果的预测中。
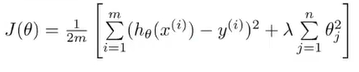
正则化
正则化的运作过程
以上图为例:
虽然图二存在过度拟合的问题,但我们可以通过添加惩罚来使高次项的参数θ_3,θ_4尽可能的小,最好约等于0。这样它就相当于是左边的二阶方程,但是比它更拟合数据。
但是在实际问题中,不知道该对哪些参数添加惩罚使其变小,**可以把所有的参数都变小。**对原来的损失函数进行修改,添加一个额外的正则化项,
λ是正则化参数,它的目标是:平衡 左边拟合数据 与 右边尽可能减小参数 这两者的关系。
但是λ不能设置的过大,否则会出现下面的情况:

因为不惩罚θ_0,λ过大,其他参数值就会趋向0,使模型最终的结果都为θ_0,这显然是错误的。
线性回归的正则化
线性回归的两种算法:梯度下降和正规方程 为了解决过度拟合需要对算法稍微变化一点。
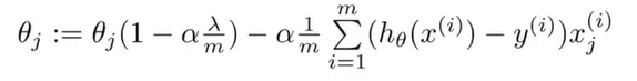
1.梯度下降
前面已经介绍了对损失函数添加一个正则化项来处理:
只需再进行微积分处理即可:
这里只对除θ_0的参数进行处理,有图可知 θ_j每次都会乘以一个比1小一点点的数,每次迭代都会稍微减小 θ_j。
2.正规方程
直接在原来的公式的基础上加个项:
逻辑回归的正则化
公式和线性回归的梯度下降正则化相同:
但是其中的hθ(x)不一样,逻辑回归中是:Sigmoid函数
DAMO开发者矩阵,由阿里巴巴达摩院和中国互联网协会联合发起,致力于探讨最前沿的技术趋势与应用成果,搭建高质量的交流与分享平台,推动技术创新与产业应用链接,围绕“人工智能与新型计算”构建开放共享的开发者生态。
更多推荐



所有评论(0)