2026年3月 GESP CCF编程能力等级认证图形化编程四级真题
========================================================================
答案和更多内容请查看网站:【试卷中心 -----> CCF GESP ----> 图形化/Scratch ----> 四级】
青少年软件编程历年真题模拟题实时更新
========================================================================
GESP CCF编程能力等级认证 图形化/Scratch四级真题
一、单选题
1. 在2026年春晚的《武BOT》节目中,一群机器人表演空翻:它们落地后晃一下又能站稳,还会移动保持队形整齐。如果把机器人看成一台计算机,它的“输入设备”就像耳朵、眼睛,用来从外面接收信息。那么,下面哪一个选项**不能**当作机器人的“输入设备”?( )
A. 检测身体是否歪斜的“平衡传感器”
B. 机器人内部安装好的“智能程序”
C. 用来接收人类指令的“遥控器”
D. 机器人的“摄像头眼睛”
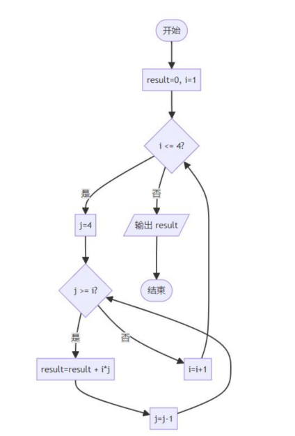
2. 下列流程图的输出结果是?( )

A. 50
B. 55
C. 60
D. 65
3. 默认小猫角色,执行下列程序,小猫说出的内容是?( )


A. 16
B. 18
C. 15
D. 14
4. 默认小猫角色,执行下列程序,小猫说出的内容是?( )

A. -37
B. -36
C. 37
D. 36
5. 默认小猫角色,执行下列程序,小猫说出的内容是?( )


A. 2
B. 3
C. 4
D. 5
6. 默认小猫角色,执行下列程序,第一个字符串输入abcabc,第二个字符串输入abcaaa,小猫说出的内容是?( )


A. 0
B. 1
C. 2
D. 3
7. 默认小猫角色,执行下列程序,输入gesp.ccf.org.cn,小猫说出的内容是?( )


A. gesp ccf.org.cn
B. gesp ccf org.cn
C. gesp ccf org cn
D. gesp.ccf.org.cn
8. 默认小猫角色,执行下列程序,小猫说出的内容是?( )

A. YXYXYYXY
B. XYXYXXYX
C. XYYXYYXY
D. YXXYXXYX
9. 默认小猫角色,执行下列程序,小猫最后说出的内容是?( )


A. 20 7 31 0 0
B. 20 7 31 0 31
C. 20 7 7 0 31
D. 20 7 0 31 0
10. 某小学男子篮球队招募新成员,要求加入球队的成员身高在135厘米以上(不含135厘米)。本次报名的人员有10人,他们的身高存储在列表nums中,默认小猫角色,运行下列程序,小猫说出的内容是?( )


A. 4
B. 7
C. 6
D. 5
========================================================================
答案和更多内容请查看网站:【试卷中心 -----> CCF GESP ----> 图形化/Scratch ----> 四级】
青少年软件编程历年真题模拟题实时更新
========================================================================
DAMO开发者矩阵,由阿里巴巴达摩院和中国互联网协会联合发起,致力于探讨最前沿的技术趋势与应用成果,搭建高质量的交流与分享平台,推动技术创新与产业应用链接,围绕“人工智能与新型计算”构建开放共享的开发者生态。
更多推荐


所有评论(0)