机器人学导论--学习总结(一)
本文概述了机器人学中的核心概念,包括位姿描述(位置和姿态)、正逆运动学、空间变换等。正运动学通过连杆几何参数建立坐标系,由关节变量求解末端位姿;逆运动学则根据期望位姿反求关节变量,存在多解和无解问题。空间变换通过旋转矩阵和齐次变换矩阵实现坐标系转换。文中还介绍了D-H参数法描述连杆几何关系,以及逆运动学的代数解法(三角函数变换)和几何解法(余弦定理)。这些理论为机器人运动分析和控制提供了数学基础。
一、概述
机器人学的相关术语以及主题进行概述:
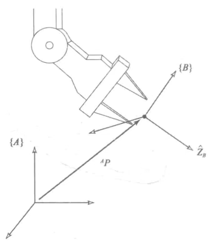
- 位姿:包含位置和姿态两方面的内容。位置即建立坐标系用坐标系中的点来表示当前的位置信息;而姿态以我个人的理解就是用坐标系中的关节之间的角度来表示的信息。
- 操作臂的正运动学:对于其运动的几何和时间的特性的相关研究。其中涉及到研究的对象主要是连杆。相邻连杆之间用关节相连,就形成关节角,同时也有可能有移动关节从而产生相对移动,称为关节偏移量。同时会定义多个不同的坐标系,给定关节角的数据,求对其进行位姿的描述。
- 操作臂的逆运动学:所谓逆运动就是给定其位姿的信息,反求其相关的关节角的数据。更难的地方在于可能会出现有无解和多解的问题。无解则代表无法达到期望的位置和姿态,也就是在工作空间之外。
- 速度和奇异点:机构末端的速度可以结合雅可比矩阵的来处理(具体可看之前的文章)。奇异点虽然机构可以达到这个点,但是会使得机构出现局部的自由度退化,失去作用,从而会出现问题。
- 位控和力控:一个是只通过位姿来实现控制运动的逻辑,在没有接触的时候没有明显的问题;而另一个结合了力的作用,当机械臂与控制物体接触时会更加灵活智能的进行运动轨迹 的规划,是对位控的补充。
二、空间描述和变换
众所周知在一个坐标系中,最直接描述的位置方式是向坐标轴投影,求出矢量的坐标表示,也可用矩阵来表示方便后续的转换。后来发现只用位置不能完全表示一个物体的状态,还有不同的姿势,从而引出姿态的概念。姿态则用自身上的坐标系来表示,用角度来表示。

从上面的图中,也不难看出使用到了两个坐标系。对于两个坐标系,要想同时使用两个坐标系,那么就要以一个坐标系为基准来表示其余的坐标系,所以进而引出的旋转矩阵的概念。不难发现,其实可以把其中上面的坐标系看成是下面的基坐标系的变化得来的,也就是老生常谈的旋转加平移的变换。
对于旋转的变换:引出一个3*3的旋转矩阵的,通过变化得到新的坐标系。也就是把新坐标系在就旧坐标系中表示出来。当假如绕同一个原点旋转一定的角度,可以将新坐标系中的单位向量在旧坐标系中投影表示出来构成矩阵。也就是下图中的式子。

这时就可以用这个矩阵进行在不同坐标系中的转换了。

对于平移的变换:从下图中我们不难看出,其实平移的变换就是用矢量求和来表示。用坐标原点的平移在旧坐标系中的矢量表示加上在新坐标系中的矢量表示,从而表示出来位置在旧坐标系的矢量表示。

两种基本变换方式了解之后,我们可以继续延伸到既有旋转又有平移的一般变换。对于两者的结合像下图的公式一样可求。

简化一下上述的公式,将旋转和平移结合到一个矩阵的变换中来,从而形成一个新的公式。

也就是形成一个4*4的一个矩阵变换

上述的矩阵式子也就是我们所称作的齐次变换矩阵。用于表示一般变换的旋转和平移。对于逆变换来说就是求其对应变换的逆矩阵即可。
了解了上面的不同坐标系之间的映射的概念,再简单介绍一下算子的概念,两者的数学表达式是完全相同的,只是解释不同。映射是反映不同坐标系的变换矩阵,而算子反映的是在同一个坐标系中的点或者矢量的旋转和平移关系。这里就不过多赘述了。
其他的姿态表述方法:欧拉角的表示。常用三个角度来表示:回转角、俯仰角和偏转角。其实也就是分别以z、y、x轴为旋转轴。求出三个旋转的矩阵,从而用矩阵的乘法来表示姿态的信息。常用的有ZYZ和ZYX欧拉角两种形式的旋转变换。

三、操作臂运动学(静止连杆的位姿)
运动副和关节以及自由度的概念就不过多赘述了。直接进入正题:在机器人学中,连杆(Link)是构成机械臂的基本刚体单元,通过关节(Joint)连接形成运动链。
对于连杆的描述,我们主要用到的几何参数描述(D-H参数)每个连杆都用到的是四个参数来表示。如下表所示:
| 参数 | 符号 | 定义 | 物理意义 |
| 连杆长度 | ai(或ai−1) | 两相邻关节轴公垂线的长度 | 描述连杆本身的尺寸 |
| 连杆扭角 | αi(或αi−1) | 两相邻关节轴的夹角 | 描述连杆的扭曲程度 |
| 连杆偏距 | di |
沿关节轴i方向的距离 | 描述连杆间的连接关系 |
| 关节角 | θi |
绕关节轴i的旋转角 | 描述关节的运动变量 |
也就是:

有了对应的连杆参数,接下考虑的以什么坐标系来确定相关参数,自然就建立一个连杆的坐标系。为了描述每个连杆和相邻连杆的相对位置关系,需要在每个连杆上定义一个固连的坐标系。连杆坐标系的定义规则一般是:沿关节i+1的轴线方向(旋转关节为旋转轴,移动关节为移动方向)为z轴的方向;沿zi与zi+1的公垂线方向,由关节i指向关节i+1为x轴的方向;最后通过右手定则确定y轴的方向。
有了连杆坐标系,那么不同的连杆坐标系之间的变换的关系是什么样的,接下来了解一下连杆坐标系的变换矩阵。根据上面的四个参数的定义理解不难发现,其实变换矩阵就等价于依次做:绕 zi 转 θi、沿 zi 平移 di、沿 xi+1 平移 ai、绕 xi+1 转 αi。也就可以回到上一回写的变换矩阵的格式来写。
四、操作臂逆运动学
在机器人学中,操作臂逆运动学(Inverse Kinematics, IK)是根据末端执行器的期望位姿(位置和姿态)求解各关节变量的过程。
逆运动学解算难度较正运动学较高,主要难点在于其为非线性方程组求解,运动学方程本质为复杂三角函数方程组,6自由度系统需解12个方程(旋转9个+位置3个)而仅有6个变量。求解的难度较大。同时还具有考虑解的存在性问题以及多解问题,也增加了解题的难度水平。
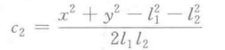
我们把操作臂全部求解方法分为两大类:封闭解和数值解。而数值解的迭代性质是的一般要比求相应的封闭解的速度要慢得多。所以下面主要讨论封闭解的求解方法。封闭解的求解方法又分成两类:代数法和几何法。
以平面机械臂为例:

首先写出正运动学矩阵:

简化写成:

然后两者中的元素有一一对应的相等关系,可列出方程组,计算和
的和,再结合三角函数的变换公式来结合求解:

就可求sin值,其正负代表了机械臂是“肘部向上”还是“肘部向下”两种情况。再可求出对应的的值。最后由三个角度之和可求出剩下的一个角度的大小。
几何法大致相同,只不过使用了余弦定理来求解,利用平面几何的关系来求解。
---------------------------------------------------------------------------------------------------------------------------------
暂时只了解到这里,剩下的内容会在学习之后及时更新
注:三轴相交的Pieper准则下次更新
DAMO开发者矩阵,由阿里巴巴达摩院和中国互联网协会联合发起,致力于探讨最前沿的技术趋势与应用成果,搭建高质量的交流与分享平台,推动技术创新与产业应用链接,围绕“人工智能与新型计算”构建开放共享的开发者生态。
更多推荐


所有评论(0)