具身智能2.1刚体运动学:坐标系变换、旋转矩阵、四元数
四元数是复数(Complex Numbers)在四维空间的扩展。一个四元数由一个实部(Scalar,)和三个虚部(Vector,)组成:或者写成向量形式:在具身智能的工程实践中,为了描述旋转,我们只使用单位四元数 (Unit Quaternion)
2.1 第一部分:位姿与旋转矩阵
在纯粹的数字世界(如 ChatGPT)中,信息的最小单位是 Token;而在具身智能的物理世界中,信息的最小单位是位姿(Pose)。
如果你无法精确地用数学语言描述“我的手在哪里”以及“我的手朝向哪里”,那么任何高层的规划(Planning)都无法落地为执行(Control)。运动学(Kinematics)是研究运动的几何性质而不考虑受力的学科,它是连接“感知”与“行动”的第一个数学桥梁。
1. 刚体假设与位姿描述 (Position and Orientation)
在具身智能中,我们通常将机器人(如机械臂、人形机器人的躯干)视为刚体(Rigid Body)。
-
定义:刚体上任意两点之间的距离在运动过程中保持不变。这意味着我们不需要像流体力学那样计算每一个粒子的状态,只需计算刚体上固连坐标系(Body Frame)的状态。
1.1 自由度 (Degrees of Freedom, DOF)
在三维空间中,描述一个自由浮动的刚体(例如无人机,或尚未固定的机械手末端)需要 6 个参数,即 6-DOF:
-
位置 (Position, 3-DOF):描述刚体在空间中的坐标 (x, y, z)。
-
姿态 (Orientation, 3-DOF):描述刚体在空间中的朝向(滚转、俯仰、偏航)。
1.2 坐标系的映射关系
机器人学本质上是处理不同坐标系之间变换的学科。
-
世界坐标系 (World Frame,
):固定的、绝对的参考系(例如机械臂的底座,或房间的角落)。
-
机体坐标系 (Body Frame,
):附着在运动物体上的坐标系(例如机械臂的末端执行器,或机器狗的躯干中心)。
核心任务:我们需要找到一种数学描述,能够将 系中的点
,映射到
系中表示。
数学表达为:
其中:
-
:点 P 在世界坐标系下的坐标。
-
:点 P 在机体坐标系下的坐标。
-
:描述
相对于
的旋转(本节重点)。
-
:描述
原点相对于
原点的平移。
2. 旋转矩阵 (Rotation Matrix) 的推导与本质
平移(Translation)只是简单的向量加法,线性且直观。旋转(Rotation)是具身智能中数学复杂性的主要来源(也是导致非线性的主要原因)。
最基础的描述方式是旋转矩阵。
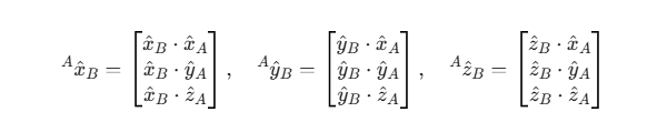
2.1 从基向量投影的角度理解
不要死记硬背旋转公式。从投影的角度理解最为严谨。
假设坐标系 的三个主轴单位向量为
。 坐标系
的三个主轴单位向量为
。
我们想描述 相对于
的姿态。这意味着,我们需要知道
这三个向量在
坐标系里的分量是多少。
根据向量点积(Dot Product)的几何意义(投影长度),我们可以写出:

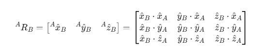
将这三个列向量拼合在一起,就形成了旋转矩阵 :

实例说明:
假设一个安装在机器人头顶的摄像头,其坐标系 相对于机器人底座
旋转了 90度(绕 Z 轴)。
-
摄像头的 X 轴(
的前方)指向了底座的 Y 轴方向。
-
摄像头的 Y 轴(
的左方)指向了底座的 -X 轴方向。
-
摄像头的 Z 轴(
的上方)依然指向底座的 Z 轴方向。
则旋转矩阵为:

第一列 正是
的 X 轴在
中的表示。
2.2 旋转矩阵的群性质(SO(3))
这一点对于编写鲁棒的控制代码至关重要。旋转矩阵不是任意的 矩阵,它必须属于 特殊正交群 (Special Orthogonal Group, SO(3))。
一个矩阵 R 要成为有效的旋转矩阵,必须满足两个严格约束:
正交性 (Orthogonality):(或者说
)。
-
物理含义:坐标系的轴必须两两垂直,且长度为 1(单位向量)。旋转不会改变向量的长度,也不会改变向量间的夹角。
行列式为 +1 (Determinant = +1):。
-
物理含义:遵循右手定则。如果
,则意味着坐标系发生了“镜像”或“翻转”,这在刚体物理运动中是不可能通过连续旋转发生的(除非你把机器人的左手拆下来装成右手)。
工程隐患实例: 在长时间的数值计算(如SLAM或机器人积分推演)中,由于浮点数误差,矩阵 R可能会逐渐偏离 SO(3) 流形(比如列向量不再正交)。
-
后果:机器人的数字模型会认为自己的手臂在“变长”或“剪切变形”。
-
对策:必须定期对旋转矩阵进行正交化(Orthogonalization)修正(例如使用 Gram-Schmidt 过程或 SVD 分解)。
3. 基本旋转矩阵 (Basic Rotations)
为了构建复杂的姿态,我们通常从绕主轴(X, Y, Z)的基本旋转开始。 根据右手定则,拇指指向轴的正方向,四指弯曲方向为正旋转方向。
绕 X 轴旋转 角 (
):
绕 Y 轴旋转 角 (
):
(注意:这里 sin 的符号位置与其他两个不同,这是由右手定则在三维轮换中的顺序决定的)
绕 Z 轴旋转 角 (
):
我们已经建立了刚体运动学的地基:
-
位姿是具身智能的数据原子。
-
旋转矩阵本质上是坐标轴的投影描述。
-
SO(3) 约束保证了物理世界的刚体性质不被数学计算破坏。
然而,旋转矩阵有明显的缺点: 它用了 9 个数字来描述 3 个自由度(冗余),计算量大,且难以插值。如果我们要描述“先绕X轴转,再绕Y轴转”,就会引入欧拉角的概念,但这又会带来致命的万向节死锁。
第二部分:欧拉角与万向节死锁
1. 欧拉角 (Euler Angles):直觉的代价
欧拉角的核心思想是将一次复杂的旋转分解为三次绕特定轴的简单旋转。
最常见的描述方式是RPY 角(Roll-Pitch-Yaw),广泛应用于航空、无人机和机器人末端执行器。
-
Roll (滚转,
):绕 X 轴旋转(如飞机翻滚)。
-
Pitch (俯仰,
):绕 Y 轴旋转(如飞机机头抬升)。
-
Yaw (偏航,
):绕 Z 轴旋转(如飞机水平转向)。
1.1 旋转顺序的重要性 (Sequence Matters)
这是初学者最容易犯错的地方。矩阵乘法不满足交换律(),因此,旋转的顺序决定了最终的姿态。
如果你告诉机器人:“先绕 X 轴转 90 度,再绕 Y 轴转 90 度”,与“先绕 Y 轴转 90 度,再绕 X 轴转 90 度”,其结果是截然不同的。
在工业机器人和 ROS (Robot Operating System) 中,最常用的标准是 Z-Y-X 顺序(对应 Yaw-Pitch-Roll)。 即:先绕 Z 轴转,再绕新的 Y 轴转,最后绕新的 X 轴转。
1.2 静态轴与动态轴 (Extrinsic vs. Intrinsic)
为了逻辑缜密,必须区分两种旋转参考:
静态轴 (Extrinsic / Fixed Frame):每次旋转都绕着固定的世界坐标系轴旋转。
-
数学操作:左乘旋转矩阵 (
)。
动态轴 (Intrinsic / Body Frame):每次旋转都绕着物体变换后的新轴旋转。
-
数学操作:右乘旋转矩阵 (
)。
具身智能中的惯例:我们通常谈论的是动态轴(Intrinsic),因为传感器(IMU)和执行器是绑在机器人身上的。
2. 万向节死锁 (Gimbal Lock):数学奇点
欧拉角虽然直观且节省存储(只用 3 个数),但它存在一个无法根除的缺陷:万向节死锁。
这并不是指机械关节被物理卡住了,而是数学描述上的自由度丢失(Singularity)。
2.1 现象描述
当中间的旋转轴(在 Z-Y-X 顺序中是 Y 轴,即 Pitch)旋转到 时,第三个旋转轴(X 轴)就会与第一个旋转轴(Z 轴)在空间中重合(或者由平行变为共线)。
此时,机器人在空间中虽然看起来还可以转动,但从数学控制的角度看,它失去了一个自由度。系统无法区分“绕 Z 轴旋转”和“绕 X 轴旋转”,因为它们现在的效果是一样的。
2.2 严密的数学证明
为了深入理解,我们展开 Z-Y-X 顺序的旋转矩阵乘积。
设 。
乘积结果的通式非常复杂,但我们只关注死锁时刻。 当 Pitch 时,
。
代入 后的矩阵变为:

利用三角函数和差公式:

逻辑推演结论: 观察矩阵中的项,所有的变量都变成了 的形式。 这意味着,无论你怎么改变 Roll (
) 或 Yaw (
),只要它们的和不变,得到的旋转矩阵就是完全一样的。
-
方程组有无穷多解。
-
控制器无法解算出唯一的
和
。
-
后果:机器人会发生剧烈的抖动,或者在执行路径规划时,因为雅可比矩阵(Jacobian)行列式为 0 而报错,导致程序崩溃。
3. 实例:现实世界中的灾难
3.1 工业机械臂的“奇异点”
当你控制一个 6 轴机械臂去焊接一个正上方的点时,如果不幸机械臂的第 5 轴(Wrist Pitch)转到了 90 度,第 4 轴和第 6 轴就会对齐。 此时,如果你命令机器人“向左微调”,机器人可能会突然疯了一样快速旋转第 4 轴和第 6 轴 180 度,试图凑出这个位姿。这种剧烈运动极易打断线缆或撞坏工件。
3.2 阿波罗登月舱
阿波罗飞船使用了三轴万向节(Gimbal)来测量姿态。为了避免死锁,NASA 的工程师不得不给宇航员一条严格指令:“永远不要让飞船的姿态进入死锁红区”。如果必须经过那个角度,需要手动操作飞船绕个大圈避开。
为了彻底解决这个问题,让具身智能体能够进行全方位的、连续的、无奇点的旋转计算(比如体操机器人或战斗机),我们必须引入一种更高维度的数学工具——四元数。
这是所有高级机器人控制算法、游戏引擎(Unity/Unreal)以及无人机飞控底层必须掌握的核心数学。
第三部分:四元数与球面插值
1. 四元数 (Quaternion):高维的优雅
威廉·哈密顿(William Hamilton)在 1843 年发明四元数时,并不知道它在 100 多年后成为了计算机图形学和机器人学的基石。
为了避免万向节死锁,我们需要一种没有奇点且计算高效的方法。旋转矩阵用 9 个数(太多),欧拉角用 3 个数(太少,导致死锁)。数学告诉我们,描述三维空间的无奇点旋转,最少需要 4 个参数。
1.1 数学定义
四元数是复数(Complex Numbers)在四维空间的扩展。一个四元数 由一个实部(Scalar,
)和三个虚部(Vector,
)组成:
![]()
或者写成向量形式:

在具身智能的工程实践中,为了描述旋转,我们只使用单位四元数 (Unit Quaternion),即模长为 1:
![]()
1.2 物理意义:轴-角(Axis-Angle)的升华
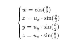
四元数之所以好用,是因为它与物理旋转的轴-角描述有着直接的映射关系。
欧拉旋转定理指出:任意的三维旋转都可以描述为绕空间中某个轴 旋转了某个角度
。
四元数将这个几何直觉编码为:

其中 是归一化的旋转轴单位向量。
关键细节:为什么要除以 2?
这是一个拓扑学上的深刻特性(Double Cover)。
-
旋转
(即
),
,四元数变为
。
-
旋转
(即
),
,四元数变回
。
-
结论:在四元数空间中,
和
代表同一个物理姿态。这保证了旋转路径的连续性,避免了像欧拉角那样的跳变。
2. 核心运算与代码实现逻辑
在机器人控制循环(Control Loop)中,我们通常需要执行频率极高(1kHz ~ 4kHz)的姿态解算,四元数的运算效率优势在此体现。
2.1 旋转的合成(乘法)
如果机器人先进行旋转 ,再进行旋转
,其最终姿态
不是简单的加法,而是四元数乘法(Hamilton Product):
(注意顺序:与矩阵乘法类似,后发生的旋转在左边)
运算量对比:
-
矩阵乘法:27 次乘法,18 次加法。
-
四元数乘法:16 次乘法,12 次加法。
-
优势:在嵌入式芯片(如 MCU)上,四元数能显著节省算力。
2.2 旋转一个向量
要将机体坐标系下的向量 旋转到世界坐标系,首先将向量视为实部为 0 的四元数
,然后运用共轭(Conjugate)公式:
其中 是共轭四元数
(对于单位四元数,
)。
3. 杀手级应用:球面线性插值 (SLERP)
这是四元数在具身智能中不可替代的原因。
场景:机器手当前姿态是 ,目标姿态是
。我们需要生成一连串中间的控制指令,让机器手平滑地从
动到
。
如果用欧拉角插值:你会看到机器手走出一个怪异的“香蕉形”轨迹,或者在某些角度突然加速(因为欧拉角空间不是均匀的)。
如果用旋转矩阵插值:矩阵加权平均后会破坏正交性(变形成非旋转矩阵),导致物理模拟崩溃。
使用四元数 SLERP (Spherical Linear Interpolation): 四元数是四维球体表面上的点。SLERP 实际上是在这个球面上画了一条最短路径(大圆弧,Geodesic)。
SLERP 公式:

其中 是进度,
是两个四元数之间的夹角。
物理效果:机器人末端会以恒定的角速度,沿着最短的旋转路径,完美平滑地从 A 转到 B。这就是为什么现代机器人看起来动作流畅的原因。
DAMO开发者矩阵,由阿里巴巴达摩院和中国互联网协会联合发起,致力于探讨最前沿的技术趋势与应用成果,搭建高质量的交流与分享平台,推动技术创新与产业应用链接,围绕“人工智能与新型计算”构建开放共享的开发者生态。
更多推荐

所有评论(0)