——机器人动力学系统具有典型非线性特点,利用TS模糊技术可以实现线性化建模

T-S模糊技术(Takagi-Sugeno模糊模型)是一种基于模糊逻辑的系统建模方法,由日本学者Takagi和Sugeno于1985年提出。该技术通过将非线性系统分解为多个局部线性子系统,并利用模糊规则进行整合,实现对复杂系统的精确建模与控制。

一、典型机器人动力学系统

通常用二阶系统表示低速下的机器人动力学行为:

M \ddot{\theta}(t)+D(t)\dot{\theta}(t)+KgLsin(\theta(t))=u(t)

其中,M为惯性矩阵,D(t)为粘滞摩擦系数,K为负载质量,g为重力加速度,L为重力加速度至关节转轴的距离,\theta(t)为关节转角,相应其一阶导\dot{\theta}(t)和二阶导\ddot{\theta}(t)为相应速度和加速度。u(t)为控制器信号,直接作用于关节处(红色)。其受力如图所示:

单关节机器人受力分析

该方程中含有非线性项sin(\theta(t)),无法直接转化为状态空间方程。

例如,可以将上述方程重写为:

\left\{\begin{matrix} \dot{\theta}(t)=\dot{\theta}(t)\\ \ddot{\theta}(t) = -\frac{1}{M} D(t)\dot{\theta}(t) - \frac{1}{M}KgLsin(\theta(t)) +\frac{1}{M} u(t) \end{matrix}\right.

x(t)=\begin{bmatrix} \theta(t) \\ \dot{\theta}(t)\end{bmatrix},写成状态空间方程标准形式\dot{x}(t)= A x(t) + B u(t),可以得到:

\begin{bmatrix} \dot{\theta(t) }\\ \dot{\theta}(t)\end{bmatrix} = \begin{bmatrix} 0 & 1 \\ 0 & -\frac{1}{M}D(t) \end{bmatrix} \begin{bmatrix} \theta(t) \\ \dot{\theta}(t)\end{bmatrix} +\begin{bmatrix} 0\\ \frac{1}{M} \end{bmatrix}u(t) + \begin{bmatrix} 0\\ -\frac{1}{M}KgLsin\left ( \theta(t) \right ) \end{bmatrix}

注意到,D(t)为粘滞摩擦系数,其为时变量。一般状态空间方程中的系数矩阵A为了后续控制器能够求解,往往希望其为时不变的常数矩阵。通常,工程上如果短时间使用或是使用得当,粘滞摩擦系数往往用常数的名义摩擦系数D代替。

另一个更麻烦且格格不入的项是\begin{bmatrix} 0\\ -\frac{1}{M}KgLsin\left ( \theta(t) \right ) \end{bmatrix},它由于含有非线性项sin(\theta(t))而无法加入状态空间方程\dot{x}(t)= A x(t) + B u(t)的线性形式中。该项是由于连杆连接两个不同坐标系所带来的,而机器人中不同坐标系(关节)连接又不可避免也极为复杂。这种情况就是我们经常听到“机器人系统具有强非线性”中非线性的由来,这也是我们需要利用T-S模糊技术线性化的首要目标。该例是单关节机器人的动力学,也是最简单的非线性构成,我们从这种简单情况出发讲解机器人是如何用TS模糊技术线性化的。

二、T—S模糊技术线性化

注意到,非线性项sin(\theta(t))是一个三角函数,且由关节转角\theta(t)决定。对于sin(\theta(t)),对其线性化本质就是希望将其转化为某种C_1+C_2\theta(t)的形式(其中C为常数)。

首先能想到的,对于sinx转化为x的线性形式,可表达为

sin(x)=\frac{sin(x)}{x}x

其系数\frac{sin(x)}{x}函数图像如图所示。

线性化时系数的变化

可以看到,只有在x=0附近时,sin(x)与x相近,其比值接近1;越接近\pm \pi,其比值越接近0差异越大。一般在\left | x \right |<0.5时(约28.6°)时,近似是合理的。同时需要注意到,泰勒展开也是针对x=0附近进行线性化展开的。

因此,可以判定\theta(t)\in \left ( -\pi, \pi \right )sin(\theta(t))\theta(t)无法简单近似。

这里介绍利用TS模糊进行线性化的方法。

观察一下不难发现,sin(\theta(t))属于周期函数,在-1至1之间往复波折。其中,\theta(t)在0处与sin(\theta(t))相等,均为0;当其等于\pm \frac{\pi}{2}时,sin(\theta(t))=1。因此我们可以用三角波浪线进行近似。

三角形函数近似

该三角波浪线可以用数学公式进行表示:

y(\theta(t))=\left\{\begin{matrix} -\frac{2}{\pi}\theta(t)-2, & \theta(t) \in [-\pi, -\frac{\pi}{2}) \\ \frac{2}{\pi}\theta(t), & \theta(t) \in [-\frac{\pi}{2}, \frac{\pi}{2}]\\ -\frac{2}{\pi}\theta(t)+2, & \theta(t) \in ( \frac{\pi}{2}, \pi] \end{matrix}\right.

可以看到,这属于一种“此消彼长”的运动模式。初步可以分为5个工作点,分别是:

工作点1 工作点2 工作点3 工作点4 工作点5
-\pi -\frac{\pi}{2} 0 \frac{\pi}{2} \pi

我们希望其在工作点处可以线性化,满足C_1+C_2\theta(t)的形式。因此,我们需要对其求得斜率C_2和偏置C_1

通过对sin函数在工作点处泰勒展开,可以得到:

C_2 = \frac{\mathrm{d} }{\mathrm{d} \theta(t)} sin(\theta(t)) = cos(\theta(t)),

C_1 = sin(\theta(t)) - C_2 \theta(t)

将5个工作点处\theta(t)的值分别带入上述式子,可以得到不同工作点处的线性近似公式:

(1)当x = -\pi时,

y(\theta(t)) = -\theta(t) - \pi

(2)当x = -\frac{\pi}{2}时,

y(\theta(t)) = -1

(3)当x = 0时,

y(\theta(t)) = \theta(t)

(4)当x = \frac{\pi}{2}时,

y(\theta(t)) = 1

(5)当x = \pi时,

y(\theta(t)) = -\theta(t) + \pi

除了工作点处,其余sin函数处的曲线可以看成是该5条直线的“加成”,如下图所示。

工作点处的线性化

可以看到,sin(x)函数可以由这5条直线近似化而成,可以看一下它与原曲线的误差变化。

误差变化

相较于前述的3段折线最大误差略有减小,这主要是泰勒展开的功劳。误差虽不大,但是仍旧存在。因此对于这些工作点间的误差大的曲线,需要用模糊技术圆滑过渡修饰一下。如何过渡呢?就是拿一点前面的拿一点后面的,和稀泥一下得到一点承上启下的。至于拿多少,则需要用隶属度函数来确定。隶属度,就是有多少成分属于前面还是后面的工作点。

三角形函数是最简单的,有一个明显起降过程,也就是我们需要的过渡过程。在工作点隶属度可以拉满设置为1,在其它非工作点逐渐淡化至0.

针对这个“5点4段线”可以设置5个三角隶属函数\mu _{i}(\theta(t))。其中,隶属函数\mu _{i}(\theta(t))具体设计如下:

\mu_1(\theta(t))=\left\{\begin{matrix} -\frac{2}{\pi}\theta(t) - 1, & \theta(t) \in [-\pi, -\frac{\pi}{2})\\ 0, & other \end{matrix}\right.

\mu_2(\theta(t))=\left\{\begin{matrix} \frac{2}{\pi}\theta(t) + 2, & \theta(t) \in [-\pi, -\frac{\pi}{2})\\ -\frac{2}{\pi}\theta(t), & \theta(t) \in [-\frac{\pi}{2}, 0) \\ 0, & other \end{matrix}\right.

\mu_3(\theta(t))= \left\{\begin{matrix} \frac{2}{\pi}\theta(t) + 1, & \theta(t) \in [ -\frac{\pi}{2},0)\\ -\frac{2}{\pi}\theta(t) + 1, & \theta(t) \in [0,\frac{\pi}{2}) \\ 0, & other \end{matrix}\right.

\mu_4(\theta(t))= \left\{\begin{matrix} \frac{2}{\pi}\theta(t), & \theta(t) \in [0,\frac{\pi}{2})\\ -\frac{2}{\pi}\theta(t) + 2, & \theta(t) \in [\frac{\pi}{2}, \pi) \\ 0, & other \end{matrix}\right.

\mu_5(\theta(t))=\left\{\begin{matrix} \frac{2}{\pi}\theta(t) - 1, & \theta(t) \in [ \frac{\pi}{2}, \pi)\\ 0, & other \end{matrix}\right.

我们可以绘制出这5条隶属函数的图像。

三角隶属函数

可以看到,这些隶属函数一直保证在\theta(t)\in \left ( -\pi, \pi \right )中取任意数值时,\sum_{i=1}^{5}\mu_{i}(\theta(t))=1。而且在任意工作点处,都是此消彼长的关系,符合的我们的线性化趋势。

因此,可以使用模糊推理得出,T-S模糊系统中输出为各规则输出的加权和:

y(\theta(t)) = \frac{\mu_1(\theta(t))}{\sum_{i=1}^{5}\mu_i(\theta(t))}(-\theta(t)-\pi) +\frac{\mu_2(\theta(t))}{\sum_{i=1}^{5}\mu_i(\theta(t))}(-1) + \frac{\mu_3(\theta(t))}{\sum_{i=1}^{5}\mu_i(\theta(t))}(\theta(t)) + \frac{\mu_4(\theta(t))}{\sum_{i=1}^{5}\mu_i(\theta(t))}(1) + \frac{\mu_5(\theta(t))}{\sum_{i=1}^{5}\mu_i(\theta(t))}(-\theta(t)+\pi)

需要注意的是,某一\theta(t)取值下,并不要求严格\sum_{i=1}^{5}\mu_{i}(\theta(t))=1,这只是针对满足单位划分的情况下。例如,当出现高斯隶属函数时,\sum_{i=1}^{5}\mu_{i}(\theta(t))\neq 1。因此,上式可以进一步简化为:

y(\theta(t)) = \mu_1(\theta(t))(-\theta(t)-\pi) +\mu_2(\theta(t))(-1) + \mu_3(\theta(t))(\theta(t)) + \mu_4(\theta(t))(1) + \mu_5(\theta(t))(-\theta(t)+\pi)

至此,我们完成了基于T—S模糊技术的线性化过程。

三、T—S模糊技术在机器人动力学中的应用。

我们知道了机器人动力学的非线性方程:

\begin{bmatrix} \dot{\theta(t) }\\ \dot{\theta}(t)\end{bmatrix} = \begin{bmatrix} 0 & 1 \\ 0 & -\frac{1}{M}D(t) \end{bmatrix} \begin{bmatrix} \theta(t) \\ \dot{\theta}(t)\end{bmatrix} +\begin{bmatrix} 0\\ \frac{1}{M} \end{bmatrix}u(t) + \begin{bmatrix} 0\\ -\frac{1}{M}KgLsin\left ( \theta(t) \right ) \end{bmatrix}

其中非线性特性是由sin(\theta(t))引起的。

我们也知道了如何利用T-S模糊技术处理sin(\theta(t))对其进行线性化近似:

sin(\theta(t)) = \mu_1(\theta(t))(-\theta(t)-\pi) +\mu_2(\theta(t))(-1) + \mu_3(\theta(t))(\theta(t)) + \mu_4(\theta(t))(1) + \mu_5(\theta(t))(-\theta(t)+\pi)

因此,我们可以基于T-S模糊技术将机器人动力学线性化。

规则1:如果\theta(t)-\pi附近(sin(\theta(t)) = -\theta(t) - \pi),则:

\begin{bmatrix} \dot{\theta(t) }\\ \dot{\theta}(t)\end{bmatrix} = \begin{bmatrix} 0 & 1 \\ \frac{1}{M}KgL & -\frac{1}{M}D(t) \end{bmatrix} \begin{bmatrix} \theta(t) \\ \dot{\theta}(t)\end{bmatrix} +\begin{bmatrix} 0\\ \frac{1}{M} \end{bmatrix}u(t) + \begin{bmatrix} 0\\ \frac{1}{M}KgL\pi \end{bmatrix}

规则2:如果\theta(t)-\frac{\pi}{2}附近(sin(\theta(t)) =-1),则:

\begin{bmatrix} \dot{\theta(t) }\\ \dot{\theta}(t)\end{bmatrix} = \begin{bmatrix} 0 & 1 \\ 0 & -\frac{1}{M}D(t) \end{bmatrix} \begin{bmatrix} \theta(t) \\ \dot{\theta}(t)\end{bmatrix} +\begin{bmatrix} 0\\ \frac{1}{M} \end{bmatrix}u(t) + \begin{bmatrix} 0\\ \frac{1}{M}KgL\end{bmatrix}

规则3:如果\theta(t)0附近(sin(\theta(t)) =\theta(t)),则:

\begin{bmatrix} \dot{\theta(t) }\\ \dot{\theta}(t)\end{bmatrix} = \begin{bmatrix} 0 & 1 \\ -\frac{1}{M}KgL & -\frac{1}{M}D(t) \end{bmatrix} \begin{bmatrix} \theta(t) \\ \dot{\theta}(t)\end{bmatrix} +\begin{bmatrix} 0\\ \frac{1}{M} \end{bmatrix}u(t)

规则4:如果\theta(t)\frac{\pi}{2}附近(sin(\theta(t)) =1),则:

\begin{bmatrix} \dot{\theta(t) }\\ \dot{\theta}(t)\end{bmatrix} = \begin{bmatrix} 0 & 1 \\ 0 & -\frac{1}{M}D(t) \end{bmatrix} \begin{bmatrix} \theta(t) \\ \dot{\theta}(t)\end{bmatrix} +\begin{bmatrix} 0\\ \frac{1}{M} \end{bmatrix}u(t) + \begin{bmatrix} 0\\ -\frac{1}{M}KgL\end{bmatrix}

规则5:如果\theta(t)\pi附近(sin(\theta(t)) = -\theta(t) + \pi),则:

\begin{bmatrix} \dot{\theta(t) }\\ \dot{\theta}(t)\end{bmatrix} = \begin{bmatrix} 0 & 1 \\ \frac{1}{M}KgL & -\frac{1}{M}D(t) \end{bmatrix} \begin{bmatrix} \theta(t) \\ \dot{\theta}(t)\end{bmatrix} +\begin{bmatrix} 0\\ \frac{1}{M} \end{bmatrix}u(t) + \begin{bmatrix} 0\\ -\frac{1}{M}KgL\pi \end{bmatrix}

\theta(t)\left ( -\pi, \pi \right )上的其它区域时,则可表示为这5个动力学系统关于隶属函数的加权和。

可以利用MATLAB中的SIMULINK验证改模糊方法的准确性。

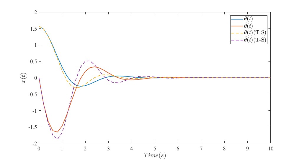
假设初始状态为\theta(t)=\frac{\pi}{2},\dot{\theta(t)}=0,此时机械臂相当于是平举。假如不施加控制力矩,机械臂按理说应该受重力作用下摆运动,然后收摩擦阻力影响摆幅逐渐减小,直至停留在\theta(t)=0,\dot{\theta(t)}=0的位置处,实际也是如此,如图所示。

单关节机械臂响应曲线

该机械臂设置M=1D(t)=D=2K=1g=9.81L=0.5,单位均为国际标准单位。

同样,可以根据前述5点4段模糊模型,仿真出T-S模糊系统输出曲线,如下图所示。

T-S模糊方法响应曲线对比

此时我们很容易发现,虚线为模糊系统的响应输出曲线,与实际系统输出曲线存在较大差异,并未完成近似的功能。

究其原因是由于带了后面的常数项\pm \begin{bmatrix} 0\\ \frac{1}{M}KgLsin(\theta(t)) \end{bmatrix},此时系统并未变成线性系统,而是成为了仿射系统。

通常,线性系统的表现形式为\dot{x}=Ax+Bu,而仿射系统作为介于线性与非线性系统的中间态,其表现形式为\dot{x}=Ax+Bu+f,其中f往往代表了非线性项,其不满足线性叠加原理,因此无法简单用T-S模糊方法分解。

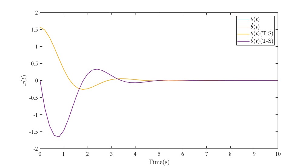
那该如何办呢?其实稍微改进一下原机器人动力学方程就可以了。

注意到,sin(\theta(t))主要是利用了C_1+C_2\theta(t)的方式与\theta(t)产生联系进而将非线性项线性化,然而其中在不同情况下容易引入C_1进而导致系统无法成为线性系统。可以换个思路,直接将sin(\theta(t))变为\frac{sin(\theta(t))}{\theta(t)}\theta(t)这种比例乘法形式,避免了常数项的产生,进而避免了系统演变为仿射系统。不要怕系数项变复杂,同样我们可以利用T-S模糊的方法处理。

基于上述结论,我们可以得到机器人动力学方程表达式为:

\begin{bmatrix} \dot{\theta(t) }\\ \dot{\theta}(t)\end{bmatrix} = \begin{bmatrix} 0 & 1 \\ -\frac{1}{M}KgL\frac{sin(\theta(t))}{\theta(t)} & -\frac{1}{M}D(t) \end{bmatrix} \begin{bmatrix} \theta(t) \\ \dot{\theta}(t)\end{bmatrix} +\begin{bmatrix} 0\\ \frac{1}{M} \end{bmatrix}u(t)

x(t)=\begin{bmatrix} \theta(t) \\ \dot{\theta}(t)\end{bmatrix},此时\begin{bmatrix} 0 & 1 \\ -\frac{1}{M}KgL\frac{sin(\theta(t))}{\theta(t)} & -\frac{1}{M}D(t) \end{bmatrix} = A(t)\begin{bmatrix} 0\\ \frac{1}{M} \end{bmatrix} = B。系统矩阵A(t)是时变的,其中D(t)=D可以用名义粘滞系数简化表示,但是\frac{sin(\theta(t))}{\theta(t)}要如何变为常数项呢?这里需要借助

T-S模糊的方法。

首先来观察一下\frac{sin(\theta(t))}{\theta(t)}在区间\theta(t)\in \left ( -\pi, \pi \right )上的图像,见前第二张图,可以看到它是一个光滑的偶函数。当\theta(t)=0时,\frac{sin(\theta(t))}{\theta(t)}=1;当\theta(t)远离0时,\frac{sin(\theta(t))}{\theta(t)}逐渐减小缩小至0。我们不希望矩阵A出现第一列空白的,所以我们取一个无限小值\beta替代0。

与前述T-S模糊方法一样的线性化手段,选取\theta(t)=-\pi,0,\pi进行线性化展开。对于\frac{sin(\theta(t))}{\theta(t)}而言,\theta(t)=-\pi,\pi没有区别,因此,我们可以得到T-S模糊的动力学模型规则:

规则1:如果\theta(t)接近于0,则系统模型表示为:

\dot{x}(t) = A_1 x(t) + B u(t)

其中,A_1 = \begin{bmatrix} 0 & 1 \\ -\frac{1}{M}KgL& -\frac{1}{M}D\end{bmatrix}

规则2:如果\theta(t)接近于-\pi,\pi,则系统模型表示为:

\dot{x}(t) = A_2 x(t) + B u(t)

其中,A_2 = \begin{bmatrix} 0 & 1 \\ -\frac{1}{M}KgL\beta& -\frac{1}{M}D\end{bmatrix}

接下来需要定义两个模糊隶属函数h_1(x(t))h_2(x(t)),其需满足h_1(x(t))+h_2(x(t))=1。用最简单的比例加权函数作为隶属函数就可以,例如

\left\{\begin{matrix} h_1(x(t))=\frac{sin(\theta(t))-\beta}{1-\beta}\\ h_2(x(t))=\frac{1-sin(\theta(t))}{1-a} \end{matrix}\right.

可以看到,这两个模糊隶属函数h_1(x(t))h_2(x(t))相当于表示了sin(\theta(t))分别与1和\beta的距离。

接下来就剩这个\beta,它应该是一个很小的数,在文献中通常取0.01\pi

因此,经T-S模糊化后的线性机器人动力学系统可以变为:

\dot{x}(t)=\sum_{i=1}^{2}h_i(x(t)))(A_ix(t)+Bu(t))

同样经过SIMULINK仿真可以得到

改进T-S模糊方法响应曲线对比

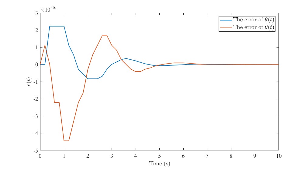
其误差曲线如图所示。

改进T-S模糊方法后的误差

我们可以看到,当T-S模糊后的系统从仿射系统变成线性系统后,其误差相较于原始非线性系统而言非常小,几乎是0。由此可见T-S模糊方法在机器人系统这一典型非线性系统中线性化的优势。

Logo

DAMO开发者矩阵,由阿里巴巴达摩院和中国互联网协会联合发起,致力于探讨最前沿的技术趋势与应用成果,搭建高质量的交流与分享平台,推动技术创新与产业应用链接,围绕“人工智能与新型计算”构建开放共享的开发者生态。

更多推荐