计算机毕业设计ssm爱篮球app 基于SSM框架的篮球爱好者互动平台开发 SSM框架下篮球社区管理系统的设计与实现
用户管理:支持用户注册、登录、个人信息管理等功能,用户可以方便地创建和维护自己的账号。篮球资讯管理:提供最新的篮球赛事资讯、新闻动态,用户可以随时查看最新的篮球信息。技术教学管理:包含丰富的篮球技术教学视频和图文教程,用户可以学习各种篮球技巧。战术分析管理:提供专业的篮球战术分析内容,帮助用户提升战术理解能力。篮球故事管理:分享篮球相关的励志故事、球员传记等,激发用户的篮球热情。组队信息管理:用户
计算机毕业设计ssm爱篮球app05gyh9(配套有源码 程序 mysql数据库 论文)本套源码可以先看具体功能演示视频领取,文末有联xi 可分享
随着篮球运动的普及和互联网技术的发展,越来越多的篮球爱好者希望通过数字化平台获取篮球资讯、学习篮球技巧、参与篮球活动。为了满足这一需求,我们开发了基于SSM框架的爱篮球APP,旨在为篮球爱好者提供一个全面、便捷的线上互动平台。通过整合Java技术、SSM框架和MySQL数据库,该系统不仅能够提升用户体验,还能为篮球爱好者提供丰富的功能和服务。
系统功能介绍
爱篮球APP的功能设计涵盖了从信息管理到社交互动的多个方面,具体功能如下:
-
用户管理:支持用户注册、登录、个人信息管理等功能,用户可以方便地创建和维护自己的账号。
-
篮球资讯管理:提供最新的篮球赛事资讯、新闻动态,用户可以随时查看最新的篮球信息。
-
技术教学管理:包含丰富的篮球技术教学视频和图文教程,用户可以学习各种篮球技巧。
-
战术分析管理:提供专业的篮球战术分析内容,帮助用户提升战术理解能力。
-
篮球故事管理:分享篮球相关的励志故事、球员传记等,激发用户的篮球热情。
-
组队信息管理:用户可以发布或加入组队信息,方便组织篮球活动或寻找球友。
-
篮球名人堂管理:展示篮球名人的事迹和成就,为用户提供学习榜样。
-
篮球基本功管理:提供篮球基本功训练的指导和练习方法。
-
系统管理:管理员可以对系统进行维护管理,包括用户管理、内容审核、数据分析等。
功能总结
爱篮球APP的设计充分考虑了篮球爱好者的多样化需求。通过用户管理功能,用户可以轻松创建和维护个人账号;篮球资讯和技术教学模块为用户提供了丰富的学习资源;战术分析和篮球故事模块则进一步提升了用户的篮球知识水平。此外,组队信息和篮球名人堂功能增强了用户的社交互动性,使用户能够更好地融入篮球社区。系统管理功能则为平台的稳定运行提供了保障。通过这些功能的整合,爱篮球APP不仅为用户提供了一个学习和交流的平台,还促进了篮球文化的传播和发展。
注:完成的毕业设计程序以下面的的环境软件、功能图和界面为准。
系统所需要的环境软件:idea、eclipse+mysql5.7、8.0+Navicat+JDK1.8+tomcat7.0
3.1项目需求分析
本系统项目需求如下:
- 使得管理本系统的信息传递可以达到完整不缺失、便捷、高效。
- 降低后期保障程序长久运行的工作人员的工作复杂度,提高系统寿命。
- 系统一经上线后,可快捷查找到所需信息及实现高效信息管理等。
- 通过网络运行,提高解决问题的效率和提高用户的使用率。
- 为了满足不同的用户需求,需要使用简洁的接口,操作简便。
- 系统运行平稳,具有实用性和通用性,适合大多数人使用。
3.2可行性分析
为了系统的完整,必须要有可行性分析的,系统的可行性关系到生存问题,分析其意义可否利用本系统来弥补线下爱篮球管理模式中的不足之处等,通过本系统来减少工作量,使管理者与用户的工作和管理效率更高。对此体现出更多的意义和价值,系统完成后,进行具体的实际分析看是否能够达到期望的要求,确定之后再开始系统的搭建开发工作。对于爱篮球app开发的搭建中,对相关技术、实际情况和操作等一系列方面进行可行性分析;
3.2.1经济可行性
本系统所用软件均为微软软件,开发周期短,因而可节约大量时间与资源,达到降低成本之功效。并且具有很好的安全性、可靠性以及可扩展性。同时发展该爱篮球app需要的智能计算机配置很低,即使网吧中被淘汰掉的配置不高的计算机也能满足需要,因此具有充分的可行性。
3.2.2技术可行性
本系统开发的程序需具有网络功能,从而可以不受地点限制。由于采用了B/S模式,降低了成本,提高了效率。本爱篮球app以Java, MYSQL数据库为设计工具,能够方便的学习与应用。所以将Java与MYSQL集成而研制的智能系统具有可行性和有效性。
3.2.3运行可行性
运行可行性也可以说是系统可用性的体现,爱篮球app本身具有运行可行性的特点,其界面的设计清晰、功能权限分配合理、操作方便。本论文设计的是爱篮球app,通过技术的结合提出一套切实可行的解决方案。不同的用户接入之后不需要经过特殊的训练就可以运行到对应功能模块中。
3.3系统用例分析
本系统分为管理员和用户两大模块,管理员的权利是最大的,可以对系统所有功能进行管理;其次是用户;用例分别如下所示:

图3-1 管理员用例图

图3-2 用户用例图
3.4系统流程分析
3.4.1程序流程图设计
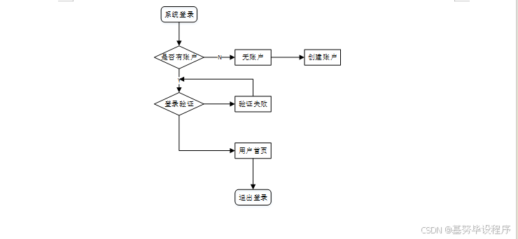
在本系统,非本系统的用户要想进行爱篮球就要注册本系统,登录时需要填写相应的资料,如有使用者,则会显示使用者名称已经存在,请再次键入使用者名称的提示框,若使用者不存在,则填写密码、确认密码等资料,并由系统判定密码与确认密码相符,确认无误后,填写使用者所填写的资料,即可进行登记。而且,为了保证系统的安全,只有在登录了本系统以后,才能进行爱篮球app。该系统的工作流程见图3-3。

图3-3程序流程图
3.4.2添加信息流程图设计
在添加信息的时候,会判断是哪类用户,并根据用户类型判断执行是否合法,合法者可以进行添加,不合法者则不能进行此操作[12]。管理员登录账号后可以对内容进行添加,拥有着最高的权限,其他用户权限次于管理员。添加信息流程图如图3-4所示:

图3-4系统添加流程图
3.4.3删除信息流程图设计
删除数据时与添加数据功能类似,删除数据具体流程如图3-5所示:

图3-5系统删除流程图
4 系统的设计
4.1 系统总功能模块设计
爱篮球app分两大部分,即管理员管理和用户管理。系统按照用户的实际需求开发而来,贴近生活。从管理员出拿到分配好的账号密码可以进入系统,使用相关的系统应用,管理员权限最大,紧接的是用户。管理员总体负责整体系统的运行维护,统筹协调。
系统整体模块设计:系统分为管理员和用户两大用户角色,系统管理员有最大的权限,整体功能展示如图4-1所示。

图4-1 系统整体功能图
4.2 系统数据库设计
4.2.1 数据库系统概要设计
从设计到制作研发一个系统,需要用到的技术很多,对于开发程序语言、数据库和框架布局都有严格的要求[5]。该系统数据存放使用MySql的数据库,该数据库轻便快速,日常使使用系统十分稳定,更容易维护运行[6]。
4.2.2 E-R模型结构设计
E-R图由实体与有关实体关联相结合构成的图,利用E-R图对清楚地表达出系统内的实体之间的关联。在系统中对一些主要的几个关键实体如下图。
(1) 用户实体属性图如下图4-2所示。

图4-2用户实体属性图
(2) 技术教学实体属性图如下图4-3所示。

图4-3技术教学实体属性图
(3) 战术分析实体属性图如下图4-4所示。

图4-4战术分析实体属性图
(4) 篮球故事实体属性图如下图4-5所示。

图4-5篮球故事实体属性图
(5) 组队信息实体属性图如下图4-6所示。

图4-6组队信息实体属性图
5 系统的实现
5.1APP端实现
5.1.1 登录界面的实现
首先双击打开APP客户端系统,连上网络之后会显示出本系统的登录界面,这是进入APP的初始页面“登录”,能成功进入到该登录界面则代表APP的开启是成功的,接下来就可以操作本系统所带有的其他所有的功能。
登录界面如图5-1所示。

图5-1 登录界面
5.1.2 注册界面的实现
第一次使用本APP的使用者,首先是要进行注册,点击“注册”,然后就会进入到注册的页面里面,将用户信息录入注册表,确认信息正确后,系统才会进入登录界面,用户登录成功后可使用本APP所提供的所有功能。
注册界面如图5-2所示。

图5-2 注册界面
5.1.3 APP首页功能的实现
APP首页是用户注册登录后进入的第一个界面,在这里,人们能够看到APP的导航条,内容包括首页、技术教学、战术分析、地图、我的等。APP首页界面如图5-3所示。

图5-3 APP首页界面
技术教学:在技术教学界面可以查看到课程名称、课程类型、课程图片、课程视频、发布日期、内容详情等信息,按照提示即可完成评论或收藏操作。技术教学详情如图5-4所示。

图5-4技术教学详情界面
战术分析:在战术分析界面可以查看到战术名称、战术分类、战术图片、战术视频、发布时间、内容详情等信息,按照提示即可完成评论或收藏操作。战术分析详情如图5-5所示。

图5-5战术分析详情界面
5.1.4 用户功能
用户登录成功后,点击“我的”进入我的页面,在我的页面可以对篮球故事、组队信息、个人中心等进行详细操作。用户功能界面如图5-6所示。

图5-6用户功能界面图
5.2 App后台管理员功能的实现
管理员登录,通过填写账号和密码等信息进行登录操作,如图5-7所示。

图5-7管理员登录界面
管理员登录进入APP可以查看个人中心、用户管理、文章分类管理、技术教学管理、战术分析管理、篮球故事管理、组队信息管理、篮球名人堂管理、篮球基本功管理、系统管理等功能进行详细操作,如图5-8所示。

图5-8管理员功能界面
管理员点击用户管理。在用户页面输入用户名和姓名进行查询,新增或删除用户列表,并根据需要对用户详情信息进行查看详情,修改或删除操作;如图5-9所示。

图5-9用户管理界面
管理员点击技术教学管理。在技术教学页面输入课程名称和课程类型进行查询,新增或删除技术教学列表,并根据需要对技术教学详情信息进行查看详情,修改,查看评论或删除操作;如图5-10所示。

图5-10技术教学管理界面
管理员点击战术分析管理。在战术分析页面输入战术名称和战术分类进行查询,新增或删除战术分析列表,并根据需要对战术分析详情信息进行查看详情,修改,查看评论或删除操作;如图5-11所示。

图5-11战术分析管理界面
管理员点击篮球故事管理。在篮球故事页面输入故事名称和选择文章分类进行查询,新增或删除篮球故事列表,并根据需要对篮球故事详情信息进行查看详情,修改,查看评论或删除操作;如图5-12所示。

图5-12篮球故事管理界面
管理员点击组队信息管理。在组队信息页面输入组队名称和队伍类型进行查询或删除组队信息列表,并根据需要对组队详情信息进行查看详情,修改,查看评论或删除操作;如图5-13所示。

图5-13组队信息管理界面
管理员点击篮球名人堂管理。在篮球名人堂页面输入人物进行查询,新增或删除篮球名人堂列表,并根据需要对篮球名人堂详情信息进行查看详情,修改,查看评论或删除操作;如图5-14所示。

图5-14篮球名人堂管理界面
管理员点击篮球基本功管理。在篮球基本功页面输入名称和类型进行查询,新增或删除篮球基本功列表,并根据需要对篮球基本功详情信息进行查看详情,修改,查看评论或删除操作;如图5-15所示。

图5-15篮球基本功管理界面
管理员点击系统管理。在赛事资讯页面输入标题进行查询,新增或删除赛事资讯列表,并根据需要对赛事资讯详情信息进行查看详情,修改或删除操作;还可以对轮播图管理和关于我们进行详细操作;如图5-16所示。

图5-16系统管理界面
源码无偿分享,文未领取
DAMO开发者矩阵,由阿里巴巴达摩院和中国互联网协会联合发起,致力于探讨最前沿的技术趋势与应用成果,搭建高质量的交流与分享平台,推动技术创新与产业应用链接,围绕“人工智能与新型计算”构建开放共享的开发者生态。
更多推荐



所有评论(0)