白杰博士 | ISPRS:高光谱激光雷达距离辐射效应对强度数据影响及校正
除自然目标方向反射异质性对高光谱激光雷达 (hyperspectral LiDAR, HSL)强度数据的影响外,辐射效应中的距离辐射效应是影响HSL 强度特征的重要因素,随着HSL系统的诞生,探究其距离效应现象,厘清 HSL 系统距离效应产生机制、对波长的依赖性,有助于推动HSL基础理论发展,提高HSL系统定量遥感应用水平。2.其次,利用了不同标准反射率板等朗伯目标提取不同测站上的回波强度,归一化

本文是高光谱激光雷达遥感团队2023年在ISPRS期刊(ISPRS Journal of Photogrammetry and Remote Sensing,IF=10.6)上发表的一项研究。该研究探索了高光谱激光雷达条件下多自然目标回波强度的距离辐射效应表征与校正模型。研究表明,距离辐射效应是高光谱激光雷达固有的仪器效应,与距离因子和仪器接收机强度调节因子有关,与波长和扫描自然目标种类无关。所有波长拥有同一的距离效应,并提出了距离效应函数的概念表征距离效应。在此基础上,提出耦合二次函数和指数衰减函数的距离效应函数用来表征并校正距离效应。
研究背景
过去将激光雷达点云应用于三维目标理化结构及性质提取、建模的研究中,大多数忽略了辐射效应对强度数据的影响及在反演结果中带来的误差。早有研究指出,在三维点云目标理化参数反演应用前需要对其强度数据进行辐射效应校正。除自然目标方向反射异质性对高光谱激光雷达 (hyperspectral LiDAR, HSL)强度数据的影响外,辐射效应中的距离辐射效应是影响HSL 强度特征的重要因素,随着HSL系统的诞生,探究其距离效应现象,厘清 HSL 系统距离效应产生机制、对波长的依赖性,有助于推动HSL基础理论发展,提高HSL系统定量遥感应用水平。
研究创新
1.本章首先通过朗伯目标和自然目标不同测站下的强度—距离表现以及归一化强度表现,发现了 HSL 系统距离效应的同一性,即 HSL 系统距离效应在所有波长上是一致的,可用“距离效应函数”来表征并校正高光谱回波强度中的距离效应。HSL 系统距离效应函数只与系统本身对接收光的内部调节机制和距离有关,与波长无关,与目标种类无关。这也是 HSL 系统辐射效应研究方面的重要发现。
图1 多自然目标强度归一化特征
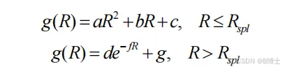
距离辐射效应校正模型:

2.其次,利用了不同标准反射率板等朗伯目标提取不同测站上的回波强度,归一化后,本研究提出了耦合二次函数和指数衰减函数的分段函数模型用来表征和校正 HSL 系统距离效应。标准反射率板和植被的强度校正结果均表明,本章提出的分段函数模型平均变异系数比最小,分别为 0.072(标准反射率板)和 0.062(植被叶片),校正效果要优于经典的距离平方反比法(0.564 和 0.530)和多项式模型(0.084 和 0.069)。
图2 不同模型校正后的多自然目标强度特征变化
3.3D 光谱点云校正前后强度变化说明距离效应校正可有效恢复原始强度差异,对于空间中距离属性值变化范围较大的场景,距离效应校正可帮助还原自然目标原始强度特征。

图3 校正前(a)后(b)光谱点云
文章信息:Bai J, Niu Z*, Gao S, et al. An exploration, analysis, and correction of the distance effect on terrestrial hyperspectral LiDAR data [J]. ISPRS Journal of Photogrammetry and Remote Sensing, 2023, 198: 60-83. (TOP, IF = 10.6).

研究团队
论文第一作者为中国科学院空天院白杰博士,通讯作者为牛铮研究员。该项研究工作得到国家自然科学基金重点项目等资助。
论文链接(点击文末阅读原文可直接查看):
https://www.sciencedirect.com/science/article/abs/pii/S0924271623000540?via%3Dihub
DAMO开发者矩阵,由阿里巴巴达摩院和中国互联网协会联合发起,致力于探讨最前沿的技术趋势与应用成果,搭建高质量的交流与分享平台,推动技术创新与产业应用链接,围绕“人工智能与新型计算”构建开放共享的开发者生态。
更多推荐

所有评论(0)