计算机器视觉(十四)运动恢复结构
Structure from Motion(sfm)恢复三维结构和摄像机参数。如果给了摄像机参数m和m‘,p和p’的对应关系,就可以用最小化的方法求解出来。运动恢复结构的应用三角化:3dmarks可以进行处理的运动恢复结构可以知道摄像机的位姿,可以定位出机器人在空间内的位置可以进行控制。可以从互联网的海量图片进行三维场景重建:slam:同时定位以及建图,能够知道三维场景的地图并定位自己,slam是
Structure from Motion(sfm)

恢复三维结构和摄像机参数。如果给了摄像机参数m和m‘,p和p’的对应关系,就可以用最小化的方法求解出来。
运动恢复结构的应用

三角化:3dmarks可以进行处理的
运动恢复结构可以知道摄像机的位姿,可以定位出机器人在空间内的位置可以进行控制。
可以从互联网的海量图片进行三维场景重建:
slam:同时定位以及建图,能够知道三维场景的地图并定位自己,slam是一个视频序列,图片是连续的,sfm通常比较慢,slam会简化某些步骤,但是精度没有sfm快。
数学描述

摄像机的外参数是一直在变化的,也就相当于摄像机的位置是一直在运动的,而又把n个三维点的坐标看作是结构,所以称为运动恢复结构问题。上面的已知信息是将三维点映射成二维点的公式。
三种典型的运动恢复结构任务
实际上这三种任务对应着不同的摄像机、不同的先验信息。
欧式:相当于先使用标定版将内参数先标定。
仿射:仿射相机更多的时候假设物体离相机较远,物体的深度变化较小。
透视:更复杂,细微的差距也要考虑,求解出来有精度。

假设第一个点在世界坐标系中,另一个找对应的旋转平移矩阵。
对于每一个点进行SIFT特征提取,建立两个图像之间对应点的对应关系,但是建立对应关系的时候可能有些对应点是错的,使用RANSC估计这个矩阵,只能找到满足数最大的矩阵,然后使用归一化的八点法。(1.SIFT 2. 匹配 3. RANSC)
真正求出的矩阵没有办法确定符号和尺度。
忽略正负号的情况下二者相等
上面的表达式中k是一个常数,U是正交矩阵。

进行奇异值分解分解之后两个特征值是1
奇异值分解和刚才推到的式子进行比较,就可以把R表示出来了,同理因为T等于两种情况还可以得出一个R

R是一个旋转矩阵。

四种中只有一对是正确的,


恢复的图像在真实场景中的尺度和现实的具有一个差别,所以需要一个先验信息来确定绝对尺度。通过外部信息才能确定真实场景的尺寸。
仿射恢复
仿射和透视的区别是仿射的最后一行是0001,而透视最后一行是v 1
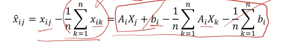
A乘以三维点的欧式坐标加上b,结论就是在仿射坐标下等于对应点的欧式坐标加上一个b
图像上的点减去图像上所有点的均值,每一个图像假设对应一个摄像机:
仿射结构恢复问题有两种方法:
- 代数方法
- 因式分解法
- 数据中心化
- 因式分解






算出的M矩阵每两行是一个m,最简单的方法是奇异值分解:

因为秩为3,就可以转换为后面的用前三个就可以:算完了之后把特征向量从大到小排个序,然后的到结果:


可以这样分解,没有人告诉你非得这样分解,只要满足定义条件就🉑️,别人在论文里使用的方法不一定是唯一的。


不能保留原来场景中的直角关系,而且二者差了一个H矩阵。
这个时候需要其他的信息来帮助我们确定其他的参数。


每一个点Xj是一个三维点,然后将测量矩阵进行分解,M的秩一定不超过三,特征值最多不超过三个解。


透视结构恢复问题
知道恢复的目标和图像,但是其他信息都不具有可知性。
分层重构,先恢复成仿射结构,然后再恢复成欧式结构。

M1和M2对应一个相机,找到一个H-1构造出一个新的没有歧义的相机



上面的X是叉乘,点是点乘不是普通的。
找到F和A b之间的关系
[bx]b=bxb
b是啥?
b就是一个极点,直接在这个图像上用两条极线把极点算出来即可。

两两作对的话算出的值会有累计误差。

投影到摄像机上的点要使所有点的累加求和的平方越小越好,投影点和观测点之间的距离越小越好。如果缺少数据的话直接不加进去就可以。

DAMO开发者矩阵,由阿里巴巴达摩院和中国互联网协会联合发起,致力于探讨最前沿的技术趋势与应用成果,搭建高质量的交流与分享平台,推动技术创新与产业应用链接,围绕“人工智能与新型计算”构建开放共享的开发者生态。
更多推荐



所有评论(0)