数学建模笔记-第三讲-插值
数学建模插值算法笔记
·
插值
定义
分类
插值多项式
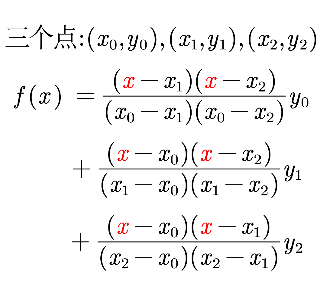
拉格朗日插值
龙格现象
高次插值,两端波动大
牛顿插值
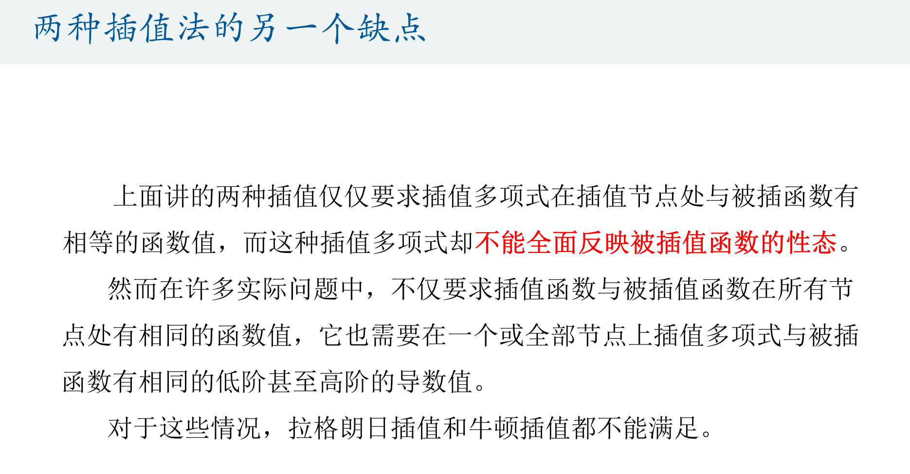
两种插值法对比
上述两种插值方法,仅满足了插值节点与被插函数的函数值相等没有考虑其导数值。
之后介绍埃尔米特插值法会改进这一点
分段插值
一个点,和其相邻的两个点,进行二次插值,取区间上的一段
一段又一段构成了总的插值函数
分段就是为了解决龙格现象
埃尔米特插值
不细讲原理
由于也存在龙格现象,于是加入分段插值的思想并实现
pchip(x,t,new_x)
返回new_x对应的插值的值
% 分段三次埃尔米特插值
x = -pi:pi; %d=1的等差数列
y = sin(x);
new_x = -pi:0.1:pi;
p = pchip(x,y,new_x); % 插值后的结果
figure(1); % 在同一个脚本文件里面,要想画多个图,需要给每个图编号,否则只会显示最后一个图哦~
plot(x, y, 'o', new_x, p, 'r-') % x,y构成的点图,new_x与p(插值点和插值后的值)构成的线图
% plot函数用法:
% plot(x1,y1,x2,y2) 可以同时画两个函数
% 线方式: - 实线 :点线 -. 虚点线 - - 波折线
% 点方式: . 圆点 +加号 * 星号 x x形 o 小圆
% 颜色: y黄; r红; g绿; b蓝; w白; k黑; m紫; c青
% 可以画点图,可以画线图,也可以点线结合
三次样条插值
还要求二阶连续可微,更光滑
不阐述原理
代码实现
spline(x,y,new_x
)`
% 三次样条插值和分段三次埃尔米特插值的对比
x = -pi:pi;
y = sin(x);
new_x = -pi:0.1:pi;
p1 = pchip(x,y,new_x); %分段三次埃尔米特插值
p2 = spline(x,y,new_x); %三次样条插值
figure(2); % 要单独命名图的标号,否则可能会覆盖前面的图
plot(x,y,'o',new_x,p1,'r-',new_x,p2,'b-')
legend('样本点','三次埃尔米特插值','三次样条插值','Location','SouthEast') %标注显示在东南方向
% 说明:
% LEGEND(string1,string2,string3, …)
% 分别将字符串1、字符串2、字符串3……标注到图中,每个字符串对应的图标为画图时的图标。
% plot有三组函数(1个点图,2个线图),就给三个图例名字
%‘Location’用来指定标注显示的位置
结论
比赛时最常用的就是埃尔米特插值和三次样条插值,都是可以的。还可以求个平均值等等
n维数据插值(了解)
很少用,要有多组数据的时候才可能用
% n维数据的插值
x = -pi:pi; y = sin(x);
new_x = -pi:0.1:pi;
p = interpn (x, y, new_x, 'spline');
% 等价于 p = spline(x, y, new_x);
figure(3);
plot(x, y, 'o', new_x, p, 'r-')
可以用于短期预测
建模时预测最好不要用插值。可以选择拟合算法或者专门的预测算法
% 人口预测(注意:一般我们很少使用插值算法来预测数据,随着课程的深入,后面的章节会有更适合预测的算法供大家选择,例如灰色预测、拟合预测等)
population=[133126,133770,134413,135069,135738,136427,137122,137866,138639, 139538];
year = 2009:2018;
p1 = pchip(year, population, 2019:2021) %分段三次埃尔米特插值预测
p2 = spline(year, population, 2019:2021) %三次样条插值预测
figure(4);
plot(year, population,'o',2019:2021,p1,'r*-',2019:2021,p2,'bx-')
legend('样本点','三次埃尔米特插值预测','三次样条插值预测','Location','SouthEast')
建模实例
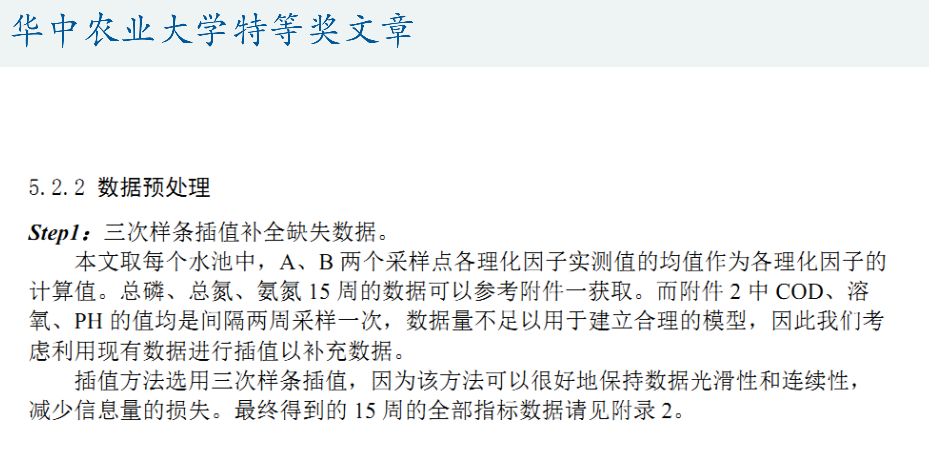
数据只有单周的,要补全,就可以选择插值
可不可以选择拟合?
拟合相比插值,是不需要一一对应,拟合出来的曲线不用经过所有点。只用在一定精度下尽可能接近就行。
拟合有一个条件是样本点要比较多,而这里只有8个样本点,就更适合插值
本笔记来自清风老师的数学建模,强烈推荐该课程!

DAMO开发者矩阵,由阿里巴巴达摩院和中国互联网协会联合发起,致力于探讨最前沿的技术趋势与应用成果,搭建高质量的交流与分享平台,推动技术创新与产业应用链接,围绕“人工智能与新型计算”构建开放共享的开发者生态。
更多推荐
所有评论(0)