数理统计学习笔记-三大分布及P值
基本概念主要分类数理统计简介数理统计是研究怎样用有效的方法去收1集,分析和使用受随机性影响的数据。数理统计的内容1.用有效的方法去收集数据。2.有效地使用数据。( 统计推断Statistical Reasoning)上述的3个推断就是数理统计要解决的3个基本问题。三大分布参考链接数据在使用前要注意采用有效的方法收集数据, 如设计好抽样方案, 安排好试验等等. 只有有效的收集了数据, 才能有效地使用
基本概念
主要分类
数理统计简介
数理统计是研究怎样用有效的方法去收1集,分析和使用受随机性影响的数据。
数理统计的内容
1.用有效的方法去收集数据。
2.有效地使用数据。( 统计推断Statistical Reasoning)
上述的3个推断就是数理统计要解决的3个基本问题。
三大分布
数据在使用前要注意采用有效的方法收集数据, 如设计好抽样方案, 安排好试验等等. 只有有效的收集了数据, 才能有效地使用数据,开展统计推断工作.获得数据后, 根据问题的特点和抽样方式确定抽样分布, 即统计模型. 基于统计模型, 统计推断问题可以按照如下的步骤进行:
确定用于统计推断的合适统计量;
寻求统计量的精确分布; 在统计量的精确分布难以求出的情形,可考虑利用中心极限定理或其它极限定理找出统计量的极限分布.
基于该统计量的精确分布或极限分布, 求出统计推断问题的精确解或近似解.
根据统计推断结果对问题作出解释
其中第二步是最重要, 但也是最困难的一步. 统计三大分布及正态总体下样本均值和样本方差的分布, 在寻求与正态变量有关的统计量精确分布时, 起着十分重要作用. 尤其在求区间估计和假设检验问题时可以看得十分清楚
P值,置信度
P是“拒绝原假设时犯错误概率”又或者说是“如果你拒绝掉原假设实际上是在冤枉好人的概率”。
)P值指的是在假定原假设为真时,获得与目前样本相同或者更为极端的结果的概率。P<0.05就是在假定原假设为真时,获得与目前样本相同或者更为极端的结果的概率<0.05。因为概率<0.05是个小概率事件,在一次试验中基本不可能发生,所以拒绝原假设,接受备择假设。
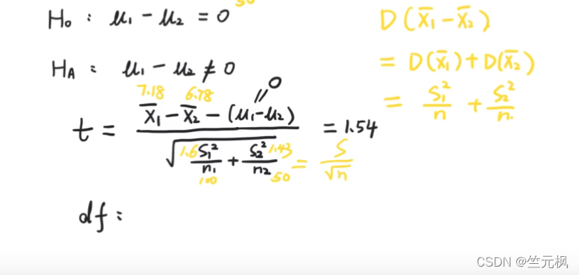
比如我们想知道某两组脑电数据的均值有没有一致性,首先假设他们是服从正态分布的。那么在这里我们就假设他们的均值相等,假设H0:u1-u2=0。即(在不同通道测到2组脑电数据,H0即为通道位置不同不影响脑电数据)然后进行t检验,

并没有足够的证据拒绝原假设。
1.关于 P 值的定义
确知整个统计模型 (所有用来计算 P 值的假设) 正确的前提下,P 值可视作已观测数据和研究人员预测或期望结果之间相容性的一种统计描述。
特别地,数据和模型预测间的差异会通过检验统计量 (比如 t 统计量或者卡方统计量) 进行测量。于是 P 值就可被认为:当包括原假设在内的所有模型假设都是正确的情况下,研究所选择的检验统计量至少和其观测值一样大的可能性。
这种定义包含了传统观点中缺失的一个关键点:从逻辑上,P 值检验数据生成的所有假设 (整个模型) ,而不仅是用来作为研究目标的待验假设 (比如原假设)。
2.关于 P 值的解读
当每一假设都是正确的情况下,P 值越小,的确可以认为数据的出现是更为罕见的;但是非常小的 P 值不能告诉研究人员哪一假设是不正确的。
举例来说,P 值非常小可能是由于待验假设错误导致的,但是也可能仅仅 (或同时) 由于研究设计被违反造成的,还有可能仅是由于研究者只挑选数值小的结果进行展示导致的。
相反,P 值越大意味着在模型假设下数据的出现并不是极端情况,但是并不是表明模型或者其某一方面 (如作为检验目标的假设) 是正确的;有可能仅仅 (或同时) 是由于 (再一次) 出现了研究设计被违反的情况,或者研究者挑选了数值大的 P 值进行展示造成。
3.P 值和临界值的区别
作者指出,P 值可被视为刻画数据和整个模型相容性的一个连续指标,其值从 0 (完全不相容) 到 1 (完全相容) 进行变化,在这意义上,可以认为 P 值测算了模型与数据的符合程度。然而,太多时候 P 值的意义因人们以非黑即白的观点而弱化:如果 P 值落在临界值 (通常是 0.05) 或是落在小于临界值的一侧,就被称为“统计显著”,否则就被称为“不显著”。
“显著程度”和“ alpha 值” (α) 经常被用来指代临界值;然而,“显著程度”会招致临界值和 P 值自身的混淆。两者存在巨大差别:临界值 α 应被看作是事前给定的,因而是研究设计的一部分且不随数据变化。相反 `P
4.置信区间的性质如果研究人员按照有效方法重复计算测算 95% 置信区间,那么平均来说,其中 95% 将包含 (或覆盖) 真实效应大小。因此,上述置信水平被称作覆盖概率 (coverage probability) 。
正如 Neyman 反复强调的,覆盖概率是有效模型计算出的一系列置信区间的性质,而不是任何一个单一置信区间的性质。
DAMO开发者矩阵,由阿里巴巴达摩院和中国互联网协会联合发起,致力于探讨最前沿的技术趋势与应用成果,搭建高质量的交流与分享平台,推动技术创新与产业应用链接,围绕“人工智能与新型计算”构建开放共享的开发者生态。
更多推荐






所有评论(0)