【数学建模】主成分分析
文章目录1 主成分分析<1>问题的提出<2>数据降维的作用<3>主成分分析的思想<4>PCA的计算步骤1 主成分分析主成分分析(PCA)是一种降维算法,它能将多个指标转换为少数几个主成分,这些主成分是原始变量的线性组合,且彼此之间互不相关,其能反映出原始数据的大部分信息。一般而言,当研究的问题涉及到多变量且变量之间存在很强的相关性时,我们可以考虑..
1 主成分分析
主成分分析(PCA)是一种降维算法,它能将多个指标转换为少数几个主成分,这些主成分是原始变量的线性组合,且彼此之间互不相关,其能反映出原始数据的大部分信息。一般而言,当研究的问题涉及到多变量且变量之间存在很强的相关性时,我们可以考虑使用主成分分析的方法来对数据进行简化。
<1>问题的提出
在实际问题研究中,多变量问题是经常遇到的。变量太多,无疑会增加分析问题的难度和复杂性,而且在许多实际问题中,多个变量之间是具有一定的相关关系的。因此,人们会很自然地想到,能否在相关分析的基础上,用较少的新变量代替原来较多的旧变量,而且使这些较少的新变量尽可能多地保留原来变量所反映地信息。
主成分分析方法就是处理这种问题的一种工具。它是把原来多个变量划分为少数几个综合指标的一种统计分析方法。从数学角度看,它是一种降维处理技术。
<2>数据降维的作用
降维是将高维度的数据(指标太多)保留下最重要的一些特征,去除噪声和不重要的特征,从而实现提升数据处理速度的目的。其优点有:
- 使得数据集更易使用
- 降低算法的计算开销
- 去除噪声
- 使得结果容易理解
举个例子:
<3>主成分分析的思想
假设有 n n n个样本, p p p个指标,则可构成大小为 n × p n\times p n×p的样本矩阵 x x x:
为了降维,我们想找到新的一组变量 z 1 , z 2 , . . . , z m ( m ≤ p ) z_1,z_2,...,z_m(m\le p) z1,z2,...,zm(m≤p),它们满足:

系数 l i j l_{ij} lij的确定原则:
- z i z_i zi与 z j ( i ≠ j ; i , j = 1 , 2 , . . . , m ) 相 互 无 关 ; z_j(i\not = j;i, j=1,2,...,m)相互无关; zj(i=j;i,j=1,2,...,m)相互无关;
- z 1 z_1 z1是 x 1 , x 2 , . . . , x p x_1,x_2,...,x_p x1,x2,...,xp的一切线性组合中方差最大者;
- z 2 z_2 z2是与 z 1 z_1 z1互不相关的 x 1 , x 2 , . . . x p x_1,x_2,...x_p x1,x2,...xp的所有线性组合中方差最大者;
- 以此类推, z m z_m zm是 z 1 , z 2 , . . . , z m − 1 z_1,z_2,...,z_{m-1} z1,z2,...,zm−1不相关的 x 1 , x 2 , . . . x p x_1,x_2,...x_p x1,x2,...xp的所有线性组合中方差最大者。
- 新变量指标 z 1 , z 2 , . . . , z m z_1,z_2,...,z_m z1,z2,...,zm分别称为原变量指标 x 1 , x 2 , . . . x p x_1,x_2,...x_p x1,x2,...xp的第一,第二…第m主成分。
<4>PCA的计算步骤
假设有 n n n个样本,p个指标,则可构成大小为 n × p n\times p n×p的样本矩阵 x x x:
-
1> 首先对其进行标准化处理:

-
2> 计算标准化样本的协方差矩阵:

- 3>计算R的特征值和特征向量:

-
4>计算主成分贡献率以及累计贡献率:

-
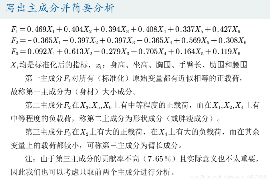
5> 写出主成分
一般取累计贡献率超过80%的特征值所对应的第一、第二、…、第m( m ≤ p m\le p m≤p)个主成分。第i个主成分: F i = a 1 i X 1 + a 2 i X 2 + . . . + a p i X p ( i = 1 , 2 , . . . , m ) F_i=a_{1i}X_1 + a_{2i}X_2+...+ a_{pi}X_p (i=1,2,...,m) Fi=a1iX1+a2iX2+...+apiXp(i=1,2,...,m) -
6> 根据系数分析主成分代表的意义
-
对于某个主成分而言,指标前面的系数越大,代表该指标对于该主成分的影响越大。
-
7> 利用主成分分析的结果进行后续分析
可用于聚类分析(方便画图);回归分析;不可用于评价模型。
<5>应用例子:




参考:清风数学建模
DAMO开发者矩阵,由阿里巴巴达摩院和中国互联网协会联合发起,致力于探讨最前沿的技术趋势与应用成果,搭建高质量的交流与分享平台,推动技术创新与产业应用链接,围绕“人工智能与新型计算”构建开放共享的开发者生态。
更多推荐



所有评论(0)