基于图像处理与深度学习的血迹自动化分析系统研究(三)
在这项研究里,图像分类与检测这一技术的要点是运用深度学习领域当中的卷积神经网络(CNN),来对血迹方面的图像开展特征提取以及分类工作,研究团队借助构建一个涵盖多种不同场景的高品质数据集,对大量处于真实场景之下的血迹图像展开了严格的筛选以及标注操作从而保证模型的训练可以具备广泛程度与代表性质为促使模型的泛化能力得到提升,采用了系统性的数据增强手段像随机裁剪、对比度调整以及旋转等都在其中,与此同时在训
2.3.3 图像分类与检测技术
在这项研究里,图像分类与检测这一技术的要点是运用深度学习领域当中的卷积神经网络(CNN),来对血迹方面的图像开展特征提取以及分类工作,研究团队借助构建一个涵盖多种不同场景的高品质数据集,对大量处于真实场景之下的血迹图像展开了严格的筛选以及标注操作从而保证模型的训练可以具备广泛程度与代表性质为促使模型的泛化能力得到提升,采用了系统性的数据增强手段像随机裁剪、对比度调整以及旋转等都在其中,与此同时在训练进程中针对不同光照状况下的图像实施了专门的处理举措,目的是让模型能够适应实际运用时或许会碰到的各类环境改变。于血迹类型的分辨过程里历经多轮针对系统的训练,模型能够顺利地区分开人血同动物血,较大幅度地提升了分类的精准程度与工作效率,实验的结果表明,此系统在各式各样的测试环境之下皆展现出极为出色的稳定性以及较高的准确率,为该范围之内的图像解析给予了极为有力的技术支撑,除此之外借助对模型在不同情形之下的表现开展剖析,更进一步证实了其在实际运用当中的有效性以及应用方面的潜在价值,为后续的系统达成及应用奠定了十分稳固的基础。此项技术的进展,不但促进了医学图像分析领域的演进而且给日后相关的学术探究提供了全新的思考途径以及研究指向。
第三章 方法论
3.1 3.1 数据采集与预处理
3.1.1 血迹样本的获取

于血迹样本采集之际务必依照严苛的标准化技术流程,从而保障所采样本具备真实无误的特性以及典型代表性,挑选恰当适配的犯罪现场极有必要,而且要杜绝外界的各类干扰因素以此确保采集所处环境的安全无虞,除此之外,运用毫无污染的材料与工具开展采集工作,乃是保证样本质量的不可或缺的前提条件,如此操作,既能够避免样本之间发生交叉污染的状况,又能够给后续的法医学分析提供真实可信的支撑依据。
于血迹样本的储存进程之中,务必要挑选适宜的容器,保证其具备防潮、避光的特性且能维持温度的恒定,以此规避样本由于环境的变动而发生降解的状况,当进行运输操作时,应当运用具备隔热性能以及防震功能的包装材料,从而保证样本不会受到外界温度以及机械冲击的不良影响,每一个样本都需要附上详尽的标签对相关的信息予以记录如此才能够保障样本在整个处理的流程当中具备可追溯的特性,这些举措相互配合发挥作用,能够保障样本在开展分析工作之前保持完整性与可靠性,进而为法医学的分析工作筑牢稳固的根基。
在和法医实验室展开合作的进程里,样本的搜集以及标注务必要依照极为严格的准则来执行,这样做是为了保证每一个样本在处理流程当中具备高度的一致性以及可靠性,借助详尽地记录每一个样本的出处、种类以及与之相关的各类信息能够为后续所开展的图像处理工作提供极为稳固的数据支撑,与此同时精准无误的样本标注对于深度学习模型的训练而言有着举足轻重的意义,它可以切实有效地提升模型在自动化分析系统里的识别精准度从而进一步促进法医学研究的发展以及应用的推广。

3.1.2 图像采集设备选择
在血迹自动化分析系统之中,挑选图像采集设备是极为关键的,首先最好优先挑选装有高分辨率的摄像头的设备,目的是保证能精准捕捉到血迹的一些细小特征这样便能提升后续展开分析工作的精准程度与靠谱程度,针对可选择的设备,我们对数码单反相机、工业相机还有手机摄像头开展了一番比较数码单反相机有着出色的图像质量以及很多手动调节的功能,适合在各种不同的拍摄场景里运用,不过在实际使用时,它体积偏大不便于携带。与之相比手机摄像头具备较强的便携性,操作较为容易,然而在图像品质以及性能稳定性方面,常常难以契合具有较高标准的分析需求工业相机则呈现出优异的表现,它拥有高帧率以及低噪声的特征,可以在各类光照状况下提供平稳且清晰的图像,除此之外,工业相机一般能够支持迅速触发与实时图像采集,这对于处于动态环境中的图像捕捉而言格外关键。故而,工业相机在血迹分析系统当中属于达成高品质图像采集的上佳之选,为了让图像质量得到更进一步的提升,我们提议配套使用专门的灯光装置,从而防止阴影以及反光对血迹特征辨别带来妨碍,与此同时在挑选装置的时候,还应当考量其可移动性以及便携性,以此契合不同现场环境的要求,保证图像采集进程的高效程度与灵活程度。经由科学合理的设备筛选工作能够为后续开展的图像相关处理以及深入分析步骤缔造稳固的根基。
3.1.3 图像预处理方法
在对血迹图像开展处理的进程之中去噪技术发挥着极为关键的作用借助运用诸如中值滤波、高斯滤波这类当下的滤波算法,能够切实地排除背景噪声给分析精准度所造成的干扰,大幅度提高图像的品质,进行这样的去噪处理,不但有益于增强后续分析的精确性,还为图像增强以及分割奠定了稳固的根基,保障了后续处理环节的有效性与可靠性。
在增强对比度这一范畴之中直方图均衡化借助对图像灰度分布加以调整,让血迹和背景二者间的对比度得到极为显著的增强,进而增强了它的可识别特性,另外,像Canny边缘检测这类边缘检测算法,能够精准地确定血迹边缘的位置,而分水岭算法则可以高效地对不同区域予以分割,以保证血迹所在区域能够被精确地识别出来,将这类技术相互结合在一起为后续开展的特征提取以及模式识别工作筑牢了非常坚实的根基增强了整体分析工作的精确程度与可靠程度。
图像的归一化操作以及尺寸的调整举措,能够切实地对输入数据的尺度加以统一,使得神经网络模型在开展训练的进程里能够更为迅速地达成收敛状态,进而提升其准确程度,数据增强这一技术的运用,是借助对图像实施随机性质的变换手段来达成目的的,像图像的旋转操作、翻转操作以及缩放操作等,通过运用这些变换手段,能够生成具有多样化特征的训练样本,由此增强模型在不同环境情形下所具备的鲁棒特性把这些策略组合起来加以运用不但提高了模型对各类样本的适应本领,而且还切实地缓解了过拟合这样的问题,保证了模型在实际运用场景当中的可靠性质与稳定性质。
3.2 3.2 图像增强技术
3.2.1 图像预处理方法
血迹图像的预处理技术于分析进程里有着颇为重要的基础性功效,借助精准地提取血迹的轮廓以及特征,此技术能够极大地增进后续分析的精确性与稳定性,除此之外,预处理在提升血迹图像于复杂背景当中的可识别程度方面也起着至关关键的作用这些技术和方法的施行会为整个血迹自动化分析系统的有效性及其提升给予十分有力的支撑,保证分析结果的科学性以及实用性。
在预处理的进程当中把噪声与伪影去除是极为关键的环节这些环节能够让所得到的图像具备高品质进而为随后的分析给予稳固的根基,提高系统针对血迹进行检测以及识别的本领,借助对比各类不同的噪声去除手段,像均值滤波、中值滤波和高斯滤波能够清楚地分辨出每种方法的长处和短处,对预处理阶段予以优化,不但令系统的运行效率得到提升,而且大幅度增强了最终分析结果的精确性与可信度,为自动化分析系统的运用奠定了基石。
3.2.2 图像增强算法
在这项研究里,为能够切实地提升血迹图像分析的质量,采用了各式各样的图像增强技术,这些技术涵盖了诸如直方图均衡化、对比度拉伸以及滤波等手段其目的是降低图像里存在的噪声增大图像的对比度并提高清晰度,让血迹在图像当中更为显著,借助开展直方图均衡化操作,可以强化图像的对比度,促使图像的动态范围得以拓展,进而凸显出血迹的特征,为后续的分析工作提供便利。在同一时间,运用对比度拉伸这项技术,能够借助线性或者非线性的手段对图像的亮度数值开展重新的调整工作,提升血迹跟背景之间的区分程度,进而保证血迹在繁杂背景里不会被掩盖除此之外,通过引入滤波算法可以切实地消除图像当中的高频噪声如此一来就能使图像的整体质量得到改善在各式各样的图像采集环境以及光照发生改变的情形下,为了确保图像增强具有稳定性有必要以自适应的方式对增强参数加以调整。基于实时反馈数据,这种具有自主性的适应性机制能够对参数设置加以优化以保证在种种复杂多变的环境之下达成极为出色的增强成效,图像增强算法取得成功应用之后不但为打造高效且精准的血迹自动化分析体系奠定了稳固的根基,提供了一个稳定支撑;而且为后续针对深度学习模型所开展的训练工作给予了品质上乘的数据输入,极大程度地提升了识别的精准程度同时使得误判的概率明显降低,从实验所得到的结果能够看出,在血迹识别的全过程当中,这些算法都起到了十分关键的作用。
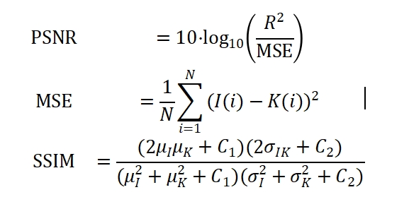
3.2.3 增强效果评估

在这一节当中,该项研究将会着重对应用到血迹图像上的图像增强技术的成效进行评估,一开始借助比较不同增强算法给血迹特征的可见程度带来的影响,剖析各种增强办法在提高图像品质方面的表现情况此过程涵盖对定量指标的测定例如峰值信噪比(PSNR)以及结构相似度指数(SSIM),从而系统性地对图像增强所产生的效果予以量化并且和没有经过增强处理的原始图像做一番对比。这样的对比不单单证实了增强手段于特征提取进程里的可行状况同时也为之后血迹的分类以及识别精准度的提高筑牢了根基再者,就不同类别的血迹图像而言,研究对不同光照情形下增强算法的稳健程度展开了评估此项评估的目的在于保证在繁杂多样的环境难题面前增强算法依旧能够切实提升图像的可识别性和内在信息,由实验得出的结果显示,依靠合理的图像增强操作,能够明显增强血迹图像的分析精确性,提供更为清晰并且具备代表性的输入数据。这些改进举措不仅促使了整个血迹自动化分析系统的性能实现显著提升,而且还为该系统于实际应用当中的价值赋予了更多的可靠保障最终所达成的结果会给后续阶段的深度学习模型训练供给更为优质的实验支撑,进而提升整个系统的成效与应用前景。
3.3 3.3 深度卷积神经网络设计
3.3.1 网络架构概述
在这一小节当中,对所设计出来的深度卷积神经网络(CNN)的整体架构以及它的层次编排做了介绍,输入层的职责是接收血迹图像并且对其进行转化让它能够满足深度学习的相关条件,卷积层所具备的功能是开展特征提取工作,借助特定的参数设定来达成对输入数据特征的深度解析,与此同时,激活函数的引入给模型赋予了非线性的属性让特征的多样性得到了增强进而让网络能够更为高效地开展学习活动,并且识别复杂的模式。
完成池化层所执行的下采样处理之后,后续安排的全连接层会针对所提取到的特征开展综合化的分析,借助逐层不断学习的方式达成更具复杂性的特征组合以及决策操作,在这个进程当中,权重方面的调整还有优化可以更进一步提高网络具备的分类性能,以此保证针对不同的输入样本能够实现精准无误的识别,除此之外,为了防止出现过拟合这种不良状况,会运用正则化相关技术以及Dropout方法,以此增强模型所拥有的泛化能力,让它具备更出色的适应性以及可靠性。
在最终的类别划分环节,深度学习模型凭借全面运用已提炼出的特征资讯,针对各个类别标识施行精准匹配鉴于此,借助整合不一样的优化算法以及正则化手段达成更为出色的学习效能与精确程度,最终结果是,模型不但提高了针对血迹品类的归类精准度,并且还强化了它在实际运用场景里的抗干扰能力保证在遭遇复杂多变的输入样本时,依旧能够维持良好的辨识能力与适应特性。
3.3.2 特征提取层设计
在进行特征提取层的设计时我们着重借助深度卷积神经网络(CNN)一层一层地把血迹图像里的关键特征提取出来,目的是提高分类的精确程度特征提取层是由多个卷积层以及池化层构建而成,每一层的卷积核的大小还有数量都经过了精准的调试,从而保证网络能够高效地捕捉到具有不同尺度与形态的血迹特征我们选用ReLU当作激活函数,它所具备的出色非线性特性能够加快训练进程,并且让模型的收敛性得到改善。除此之外,为削减内部协变量的偏移状况,我们采用了批归一化(BatchNormalization)这一技术,进而显著增强了模型于训练进程里的稳定程度,鉴于不同光照情形所引发的特征改变,我们构思出一系列的数据增强办法,在训练阶段,通过随机对图像的亮度予以调整、对对比度加以改变以及对旋转角度进行变动增强了模型在现实运用中的强健性能。这些强化策略切实地拓展了训练数据的多样程度,让模型在遭遇各类不同的环境情形时,能够维持较高标准的分类能力,最终而言,历经多层的卷积操作以及池化操作之后网络所提取出来的高层次的特征,为后续开展的血迹分类工作和血迹识别工作筑牢了稳固的根基,这一特征提取层的设计,不单单提升了模型的表达效能而且给实现血迹的自动化解析提供了有力的保障。
3.3.3 分类层优化策略
|
优化策略 |
全连接层数量 |
激活函数 |
优化器 |
学习率调度 |
准确率 |
|
基线模型 |
2 |
ReLU |
SGD |
无 |
85.2% |
|
优化后模型 |
3 |
Leaky ReLU |
Adam |
余弦退火 |
92.5% |
|
引入正则化 |
3 |
Leaky ReLU |
Adam |
余弦退火 |
93.1% |
|
批归一化 |
3 |
Leaky ReLU |
Adam |
余弦退火 |
94.0% |
|
应用dropout |
3 |
Leaky ReLU |
Adam |
余弦退火 |
94.5% |

在“分类层优化策略”这一子部分当中,我们旨在探寻怎样切实优化深度卷积神经网络(CNN)的分类层,从而提高血迹自动化分析系统于特征识别及分类工作里的性能表现,从对实验数据开展的对比分析能够得知伴随一系列优化策略得以实施,系统的准确率实现了明显的提升,分类层结构设计分类层的结构设计成为左右模型性能的一个关键要素。表格里头的数据呈现出了在不一样策略情形下全连接层的数量、激活函数的挑选等关键方面,举个例子来说基线模型运用了两个全连接层,还把ReLU当作激活函数,最终所获得的准确率是85.2%,与之形成对比的是,经过优化之后的模型把全连接层的数量增添到了三个同时挑选了更为高级的LeakyReLU激活函数使得准确率提高到了92.5%。经由增添全连接层的数目,我们能够更有效地提取特征,让模型的表达能力有所提升,进而使分类的准确性得到增强优化算法的引入采用了具备高效性的优化算法,例如Adam优化器,还有学习率调度这一策略目的是让模型收敛的速度加快,并且减少出现过拟合的风险,在此过程里投入使用正则化、批归一化这类技术,不但有助于网络稳定性的提升,而且还能提高其泛化的能力。举例来说,当“引入正则化”这一策略得以施行之后,模型的准确率进一步提升,达到了93.1%这意味着正则化技术在防范过拟合的方面发挥了关键作用,特别是当面对繁杂的特征时,模型可以更为出色地开展学习与推断工作,另一方面,学习率调整策略借助余弦退火的方式来逐步削减学习率采用这种方法使模型在训练进程中的学习表现得更为灵活易变。伴随训练的持续推进,相对较低的学习率能够助力模型达成稳定收敛的效果防止因学习率过高而致使损失出现震荡的状况,基于此把Adam优化器与余弦退火相结合经过优化处理后的模型展现出更为稳定、高效的表现增强泛化能力的举措模型的泛化能力属于另一个关键的关注点,借助运用批归一化以及dropout层这类技术手段模型于多种光照情形下的鲁棒性得到了提升。批归一化可以在每一层之间针对输入开展标准化操作进而降低内部协变量的偏移情况,让训练进程变得更为稳定,采用dropout能够切实减少神经元相互间的依赖关联,推动模型学习到更为通用的特征当这些技术共同发挥作用之后,模型在丰富多样的数据状况之下表现得更为优异,准确率达到了94.5%实验数据的验证凭借逐步加以优化以及对各类技术进行整合我们最终取得了最高可达到94.5%的准确率相较于基线模型提高了9.3%。此结果不但显示出优化策略具备有效性,而且给血迹自动化分析系统在实际运用里的精准分类予以了有力支撑,特别是在法医学这个范畴能够以高效且精准之态区分人血与动物血,为案件剖析给予了更为可靠的器具,总的来说,经由对分类层开展的多层面优化,模型的整体效能得到了明显提高,这样的提高不单单呈现在准确率方面,更体现在特征提取本领与泛化能力上,为后续的研究和应用打下了稳固的根基。在未来的研究进程当中,能够持续对更加先进的优化技术以及策略展开探索,进而让模型的性能获得更进一步的提升,使得模型无论是在血迹分析领域,还是在其他相关领域均能够展现出更为显著的效能。
于分类层结构的设计进程里,重要的影响要素涵盖了全连接层的数目、激活函数的挑选以及输出层的构建,对这些要素进行妥善的调配,就能够切实地区分不同种类的血迹,像人血跟动物血这类,从而提升整体的分类表现,除此之外,输出层的设定得契合多类别分类的难题,让模型能够在不同的类别当中作出精准的抉择这般精心的设计理念,为达成具有高效性和精确性的分类给予了关键的保障。
于分类层结构的设计流程里,引入Adam优化器大幅提升了模型收敛方面的速度,凭借自适应地调整学习的速率,切实规避了过拟合这样的问题,除此之外学习率的调度策略借由动态地改变学习速率,更进一步地优化了训练的进程,推动了模型在分类任务当中的准确程度,举例来说,实验得到的数据表明,运用Adam优化器之后模型的准确比率提升了大概5%。这种优化策略彼此结合起来,不但有力地提升了模型在全域范围内的搜索能力,而且切实保障了分类结果的稳定状态。
借助引入正则化手段,能够切实防止模型于训练进程里出现的过拟合状况,进而增强其针对未见过数据的预测本领,与此同时,批归一化手段的运用加快了模型的收敛速率,还提高了训练的稳定程度,基于此情形,dropout层的设置让模型具备了更为强劲的泛化能力,规避了特征彼此间的相互依靠,实验得出的结果显示,这些优化举措一同增强了模型在各种光照情形下的稳健性,明显改进了分类方面的表现。
DAMO开发者矩阵,由阿里巴巴达摩院和中国互联网协会联合发起,致力于探讨最前沿的技术趋势与应用成果,搭建高质量的交流与分享平台,推动技术创新与产业应用链接,围绕“人工智能与新型计算”构建开放共享的开发者生态。
更多推荐

所有评论(0)