【机器学习】三层神经网络
点击上方蓝色字体,关注AI小白入门哟跟着博主的脚步,每天进步一点点本文介绍了传统的三层神经网络模型,首先介绍了网络中的神经单元概念,将一个神经单元视为一个逻辑回归模型。因此,神经网络可以看作是逻辑回归在(宽度,深度)上的延伸;然后,前向传播是一个复合函数不断传播的过程,最终视目标而定损失函数;最后,反向传播则是对复合函数求导的过程。当然三层神经网络只是深度学习的雏形,如今深度学习已经包罗万象。作者
点击上方蓝色字体,关注AI小白入门哟
跟着博主的脚步,每天进步一点点


本文介绍了传统的三层神经网络模型,首先介绍了网络中的神经单元概念,将一个神经单元视为一个逻辑回归模型。因此,神经网络可以看作是逻辑回归在(宽度,深度)上的延伸;然后,前向传播是一个复合函数不断传播的过程,最终视目标而定损失函数;最后,反向传播则是对复合函数求导的过程。当然三层神经网络只是深度学习的雏形,如今深度学习已经包罗万象。
作者 | 文杰
编辑 | yuquanle
三层神经网络
A、神经单元
深度学习的发展一般分为三个阶段,感知机-->三层神经网络-->深度学习(表示学习)。早先的感知机由于采用线性模型,无法解决异或问题,表示能力受到限制。为此三层神经网络放弃了感知机良好的解释性,而引入非线性激活函数来增加模型的表示能力。三层神经网络与感知机的两点不同:
1)非线性激活函数的引入,使得模型能解决非线性问题。
2)引入激活函数之后,不再会有
损失的情况,损失函数采用对数损失,这也使得三层神经网络更像是三层多元(神经单元)逻辑回归的复合。

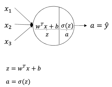
神经网络中每一个神经元都可以看作是一个逻辑回归模型,三层神经网络就是三层逻辑回归模型的复合,只是不像逻辑回归中只有一个神经元,一般输入层和隐藏层都是具有多个神经元,而输出层对应一个logistic回归单元或者softmax单元,或者一个线性回归模型。
这里对一些常用的非线性激活函数做一些简单的介绍(图像,性质,导数):




性质:对于以上几个非线性激活函数都可以看作是
的一个近似。采用近似的一个重要原因是为了求导,早起常采用平滑的sigmoid和tanh函数,然而我们可以发现这两个函数在两端都存在导数极小的情况,这使得多层神经网络在训练时梯度消失,难以训练。而Relu函数则很好的解决两端导数极小的问题,也是解决神经网络梯度消失问题的一种方法。
导数:
B、前向传播
前向传播是一个复合函数的过程,每一个神经元都是一个线性函数加一个非线性函数的复合,整个网络的结构如下:其中上标表示网络层,所以 表示输出层。
向量形式:

矩阵形式:

其中线性函数还是 ,不过要注意的是这里由于每一层不仅一个神经元,所以逻辑回归中的向量 则扩展为矩阵,表示有多个神经元(也正是因为多个神经元,导致神经网络具有提取特征的能力)。非线性函数则可以有以下选择,目前来看Relu函数具有一定的优势。
其中值得注意的是矩阵的行列,深度学习常采用一列表示一个样本,所以网络中数据矩阵的大小如下:
损失函数同样采用对数损失(二分类):
C、反向传播
由于神经网络是一个多层的复合函数,前向传播就是在计算复合函数,所以反向传播就是一个链式求导过程,确定所有参数的负梯度方向,采用梯度下降的方法来更行每一层网络的参数。
1.损失函数:
3.线性函数:
对于损失函数直接对各个变量求导如下:
值得注意的是激活函数是一个数值操作,不涉及矩阵求导,线性函数中 是因为 是作用于 个样本,所以在确定负梯度方向时需要 个样本取均值,而对 求导则不需要求均值。
代码实战
int trainDNN()
{
Matrix x;
char file[20]="data\\train.txt";
x.LoadData(file);
x = x.transposeMatrix();
cout<<"x,y"<<endl;
cout<<"----------------------"<<endl;
Matrix y;
cout<<x.row<<endl;
y=x.getOneRow(x.row-1);
x.deleteOneRow(x.row-1);
y=one_hot(y,2);
cout<<x.row<<"*"<<x.col<<endl;
cout<<y.row<<"*"<<y.col<<endl;
const char *initialization="he";
double learn_rateing=0.1;
int iter=1000;
double lambd=0.1;
double keep_prob=0.5;
bool print_cost=true;
const char *optimizer="gd";
int mini_batch_size=64;
double beta1=0.9;
double beta2=0.999;
double epsilon=0.00000001;
DNN(x,y,optimizer="gd",learn_rateing=0.001,initialization="he",lambd=0.001,keep_prob = 1,mini_batch_size=64, \
beta1=0.9, beta2=0.999, epsilon=0.00000001, iter=5000, print_cost=true);
predict(x,y);
return 0;
}
int DNN(Matrix X,Matrix Y,const char *optimizer,double learn_rateing,const char *initialization, double lambd, double keep_prob, \
int mini_batch_size,double beta1, double beta2, double epsilon, int iter, bool print_cost)
{
/**
初始化参数
**/
int i=0,k=0;
int lay_dim=3;
int lay_n[3]= {0,3,1};
lay_n[0]=X.row;
string lay_active[3]= {"relu","relu","sigmoid"};
sup_par.layer_dims=lay_dim;
for(i=0; i<lay_dim; i++)
{
sup_par.layer_n[i]=lay_n[i];
sup_par.layer_active[i]=lay_active[i];
}
init_parameters(X,initialization);
double loss;
Matrix AL(Y.row,Y.col,0,"ss");
double *keep_probs;
if(keep_prob==1)
{
keep_probs=new double (sup_par.layer_dims);
for(k=0;k<sup_par.layer_dims;k++)
{
keep_probs[k]=1;
}
}
else if (keep_prob<1)
{
keep_probs=new double (sup_par.layer_dims);
for(k=0;k<sup_par.layer_dims;k++)
{
if(k==0 || k==sup_par.layer_dims-1)
{
keep_probs[k]=1;
}
else
{
keep_probs[k]=1;
}
}
}
for(i=0; i<iter; i++)
{
//cout<<"-----------forward------------"<<"i="<<i<<endl;
AL=model_forward(X,keep_probs);
//cout<<"-----------loss--------------"<<endl;
loss=cost_cumpter(AL,Y,lambd);
if(i%100==0)
cout<<"loss="<<loss<<endl;
//cout<<"-----------backword-----------"<<endl;
model_backword(AL,Y,lambd,keep_probs);
//cout<<"-----------update--------------"<<endl;
updata_parameters(learn_rateing,i+1,optimizer,beta1,beta2,epsilon);
}
predict(X,Y);
return 0;
}
int predict(Matrix X,Matrix Y)
{
int i,k;
parameters *p;
p=∥
p->A = X.copyMatrix();
Matrix AL;
double *keep_probs=new double [sup_par.layer_dims];
for(k=0;k<sup_par.layer_dims;k++)
{
keep_probs[k]=1;
}
AL=model_forward(X,keep_probs);
for(i=0;i<Y.col;i++)
{
if(AL.data[0][i]>0.5)
AL.data[0][i]=1;
else
AL.data[0][i]=0;
}
double pre=0;
for(i=0;i<Y.col;i++)
{
if((AL.data[0][i]==1 && Y.data[0][i]==1)||(AL.data[0][i]==0 && Y.data[0][i]==0))
pre+=1;
}
pre/=Y.col;
cout<<"pre="<<pre<<endl;
return 0;
}
The End

记得备注呦
长按二维码关注
AI小白入门
ID:StudyForAI
学习AI学习ai(爱)
期待与您的相遇~
DAMO开发者矩阵,由阿里巴巴达摩院和中国互联网协会联合发起,致力于探讨最前沿的技术趋势与应用成果,搭建高质量的交流与分享平台,推动技术创新与产业应用链接,围绕“人工智能与新型计算”构建开放共享的开发者生态。
更多推荐



所有评论(0)