机器学习__两矩阵相乘
两矩阵相乘: 只有和相同时计算才有意义结果为 :左矩阵的列数右矩阵的行数。
两矩阵相乘: 只有左矩阵的列数和右矩阵的行数相同时计算才有意义
结果为 : 左矩阵的列数 右矩阵的行数


线性代数的秘密:矩阵相乘的本质是什么?
笔者继续来讲线性代数,今天我们主要深入讲解矩阵乘法:矩阵和矩阵相乘,矩阵和向量相乘的意义和数学实质。

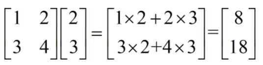
老规矩,让我们开门见山,先举个矩阵相乘的例子:



这个乘法究竟有什么意义呢?为什么要这样乘呢?乘出来的向量或者矩阵又代表什么呢?

线代教育家 吉尔伯特.斯特朗
这件事情要从线代这门课做的其中一项工作“线性变换”说起,线性变换实际上指的是坐标系的拉伸,旋转之类的变换,但不包括扭曲,扭曲可就成非线性了。
我们先来看二维坐标系:

i,j是这个坐标系的基底向量,意思就是说这个坐标系的所有向量用这两个基底 i 和 j来表示

该坐标中所有的向量都能用这个简单的式子表述
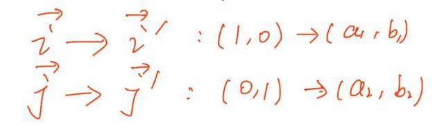
线性代数主要是干什么事情呢?,它要你把这个直角坐标系变成不一定是直角的斜坐标系(斜坐标系原点0不能变,单位尺度间隔不变,必须具有线性),然后用这个新的坐标系表示出新的向量:

黑色坐标系变成红色坐标系,基底发生了改变
那这个线性变换究竟是改变了什么呢——表述新坐标系的基底发生了改变

新的i’和j’描述的是斜二维坐标
新的i’和j’描述的是斜的二维坐标。

于是说法就出来了:

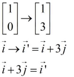
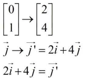
第一列的 (1,3)向量可以被认为是新的i向量i’,只不过它是二元的,比之前的i基底向量长,还多了个j方向:

第二列的 (2,4)向量可以被认为是新的j向量j’,只不过它是二元的,比之前的j基底向量长,还多了个i方向:

那么这个结果是什么意思呢?

你应该已经大致有这种感觉了:在我们的直角坐标系里的(2,3),放进斜坐标系就成了(8,18)了。我们把直角坐标的向量放进斜坐标里,原来的向量的大小和方向都发生了改变。
那这个是什么意思呢?

按照上面的理解,它其实是两种不同的线性变换的叠加,最终得到一种新的复合线性变换。

于是你大概猜到了:三阶矩阵的意义就是空间向量的拉伸。原来在某个坐标系里的(4,5,0)通过某个斜的三维坐标系变成了(9,18,32)


歪斜的线性变换空间坐标
因此,矩阵和矩阵相乘的本质是坐标系的线性变换,矩阵和向量相乘的本质是向量的线性变换。
DAMO开发者矩阵,由阿里巴巴达摩院和中国互联网协会联合发起,致力于探讨最前沿的技术趋势与应用成果,搭建高质量的交流与分享平台,推动技术创新与产业应用链接,围绕“人工智能与新型计算”构建开放共享的开发者生态。
更多推荐



所有评论(0)