工业机器人(四)——传感元件制作
电阻应变片具有结构简单,成本低廉,易于安装与集成等优势,以其为核心的传感器在土木工程、航空航天以及微电子等领域具有广泛的应用。随着物联网的兴起,给电阻应变片提供了更广阔的舞台,如可穿戴医疗电子设备、智能家居、智能交互机器人等。
背景介绍
电阻应变片具有结构简单,成本低廉,易于安装与集成等优势,以其为核心的传感器在土木工程、航空航天以及微电子等领域具有广泛的应用。随着物联网的兴起,给电阻应变片提供了更广阔的舞台,如可穿戴医疗电子设备、智能家居、智能交互机器人等。例如:电阻应变片可用于制作机器人的“电子皮肤”,从而提高机械手的灵敏度与准确性等。传感器作为工业机器人的核心元件,近来考虑自己设计、制作一个应变片,现展示一个初步的工作:

附:个人理解,电阻应变片的核心是材料变形,如何设计相应的结构,使得传感器输出信号的变化主要是因目标变形引起的,减小扰动(力、磁、热)对传感器测量结果的影响。
应变片测量原理
应变片基本结构
电阻应变片发展至今,种类繁多,其基本结构由基片、敏感栅及电极构成(有些应变片还包含保护层),具体结构如下图所示,使用时将应变片粘贴在被测部件表面,当被测部件受力发生形变后,贴在表面的应变片也随之发生相应的形变,进而引起其电阻的变化:

PI薄膜可以作为贴片式应变片的基底材料,其主要的优势为:1、具有优良的耐高低温特性:玻璃化温度分别为280℃(Upilex R)、385℃(Kapton)和500℃以上(Upilex S),能在-269℃~280℃的温度范围内长期使用;2、优异的机械性能:;3、良好的化学稳定性及耐湿热性;4、良好的介电性能,其基本材料属性为:抗拉强度>110MPa(厚度0.2mm);
导线材料为康铜:厚度5um、杨氏弹性模量1.6310^12;
宽度250um,泊松比0.33,电阻率510^-7;
加工实物图
在AutoCAD中绘制传感器基本结构,如下图所示,其中,应变片基底长度为52mm,宽度为15mm,栅丝宽度为250μm,厚度为5μm,在电阻丝两端设置岛桥,后续用来焊接应变片引线;于此同时,为了减小应变片的横向效应,增加横栅的宽度;本方案中设计的应变片初始电阻为120Ω左右。

采用腐蚀等工艺,完成传感器的加工。传感器加工完成后实物图如下所示:实验中加工出两个传感器样品,其电阻值分别为116和118Ω(后续可以通过打磨,调节应变片初始电阻),均匀性误差在2%以内,考虑到电阻丝的宽度为250μm,相当于加工偏差在5μm以内,加工精度相对较高,并且不同产品性能相对稳定。

传感器测试
传感器加工完成后,怎能不测量一下具体效果呢,😄~,现手工制作标准试样(试样采用1060铝合金,截面为矩形,宽度为16mm,厚度为1mm),然后采用502胶水把传感器粘贴在试样上,接着把试样两端固定在拉伸机上,施加位移载荷,观看应变片电阻值变化情况,具体如下图所示:

制作标准试样,测试应变片的精度:试样采用1060铝合金,截面为矩形,宽度为16mm,厚度为1mm,两端固定在拉伸机上,在试件两端施加位移载荷,观看应变片电阻值变化情况。

应变片的应用示例
应变片能够灵敏度的捕捉金属箔纵向方向的变形,实验中测试了前期加工的应变片在弯曲曲率测量上的应用,如下图所示,该原理在手势识别方面具有广阔的应用场景,例如:战争片中经常有手语这个概念,如果接收信号的是一个无人机,又会是什么情形~,具体过程为:制作一款人机交互手套,自动识别人手势的变化,当手指具有不同的弯曲幅度时,金属丝发生变形,具有不同的电阻特性,于此同时通过智能算法(分类算法),对手势进行识别,进而给远端执行机构传输相应的信号,实现远程操控。


能够测量弯曲变形:1、电阻值具有明显的变化;2、多次循环加载,传感器均能回到初始状态

电阻应变片原理
薄膜应变片在测量过程中需安装于被测物表面上,当被测部件受力发生形变后,贴在表面的应变片也随之发生相应形变,引起其电阻值发生相应变化,配备相应的驱动电路,使应变或应力等机械量转变为电学量,其基本原理为:

根据电阻定义,在自由状态下,薄膜应变敏感材料的电阻可表示为:

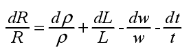
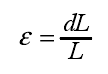
式中 ρ 为薄膜电阻率,L、w、t 分别为薄膜的长度、宽度与厚度;薄膜受沿长度方向的应力作用而产生应变时(如下图所示),其电阻变化 dR与 R 的比值即为薄膜为:


金属丝长度产生的应变可表示:

与此同时,考虑到金属丝长度方向的变形引起宽度的改变,其电阻值可表征为:

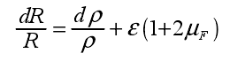
温度对应变片有两方面的影响:1、温度影响导电材料的电阻率;2、材料有热胀冷缩效应,温度影响导电材料的几何尺寸,定义电阻温度系数,具体为:

DAMO开发者矩阵,由阿里巴巴达摩院和中国互联网协会联合发起,致力于探讨最前沿的技术趋势与应用成果,搭建高质量的交流与分享平台,推动技术创新与产业应用链接,围绕“人工智能与新型计算”构建开放共享的开发者生态。
更多推荐


所有评论(0)