计算能带自动产生k_VASP计算笔记-PBE能带计算及投影能带
电子结构的计算流程高对称点生成和后期处理使用vaspkit-1.1。注:该方法主要使用原胞。PBE能带计算流程必要的文件INCAR-scfINCAR-bandKPOINTSPOTCARPOSCAR #优化后的原胞run_banddos.shrun_banddos.sh的脚本设置如下:#!/bin/bash#优化后的初始POSCARcat > POSCAR <<!...
·
电子结构的计算流程
高对称点生成和后期处理使用vaspkit-1.1。
注:该方法主要使用原胞。
PBE能带计算流程
必要的文件
INCAR-scf
INCAR-band
KPOINTS
POTCAR
POSCAR #优化后的原胞
run_banddos.sh
run_banddos.sh的脚本设置如下:
#!/bin/bash
#优化后的初始POSCAR
cat > POSCAR <<!
Primitive Cell
1.000000
0.00000000000000 2.73423319845426 2.73423319845426
2.73423319845426 0.00000000000000 2.73423319845426
2.73423319845426 2.73423319845426 0.00000000000000
Si
2
DIRECT
0.0000000000000000 0.0000000000000000 0.0000000000000000
0.2500000000000000 0.2500000000000000 0.2500000000000000
!
cat > KPOINTS <<!
A
0
M
12 12 12
0 0 0
!
#基于seek-path自动生成高对称点
vaspkit -task 303
#得到KPATH.in 和 HIGH_SYMMETRY_POINTS 可以自行修改
cat > INCAR-scf <<!
ISTART=0
ICHARG=2
PREC=Accurate
GGA = PE
ADDGRID =.TRUE.
# Electronic relaxation
ENCUT=500
EDIFF=1E-8
EDIFFG=-0.001
ISMEAR=0
SIGMA = 0.05
POTIM=0.20
# Other Tags
#PSTRESS=
# Write flags
LWAVE=.TRUE.
LCHARG=.TRUE.
!
cat > INCAR-band <<!
Global Parameters
ISTART = 1 (Read existing wavefunction; if there)
ICHARG = 11 (Non-self-consistent: GGA/LDA band structures)
LREAL = F (Projection operators: automatic)
ENCUT = 500 (Cut-off energy for plane wave basis set, in eV)
PREC = Accurate (Precision level)
LWAVE = .TRUE. (Write WAVECAR or not)
LCHARG = .TRUE. (Write CHGCAR or not)
ADDGRID= .TRUE. (Increase grid; helps GGA convergence)
# LVTOT = .TRUE. (Write total electrostatic potential into LOCPOT or not)
# LVHAR = .TRUE. (Write ionic + Hartree electrostatic potential into LOCPOT or not)
# NELECT = (No. of electrons: charged cells; be careful)
# LPLANE = .TRUE. (Real space distribution; supercells)
# NPAR = 4 (Max is no. nodes; don't set for hybrids)
Electronic Relaxation
ISMEAR = 0 (Gaussian smearing; metals:1)
SIGMA = 0.05 (Smearing value in eV; metals:0.2)
# NELM = 60 (Max electronic SCF steps)
# NELMIN = 4 (Min electronic SCF steps)
EDIFF = 1E-08 (SCF energy convergence; in eV)
GGA = PE (PBEsol exchange-correlation)
LORBIT=11 (plot projection band need to set)
NEDOS = 2000
Ionic Relaxation
# NELMIN = 6 (Min electronic SCF steps)
NSW = 0 (Max electronic SCF steps)
IBRION = -1 (Algorithm: 0-MD; 1-Quasi-New; 2-CG)
ISIF = 2 (Stress/relaxation: 2-Ions, 3-Shape/Ions/V, 4-Shape/Ions)
EDIFFG = -0.001 (Ionic convergence; eV/AA)
#ISYM = 0 (Symmetry: 0=none; 2=GGA; 3=hybrids)
!
#自洽计算
cp INCAR-scf INCAR
echo "scf"; time mpirun -np 16 vasp_std
rm INCAR
#更换KPOINTS文件
cp KPATH.in KPOINTS
cp INCAR-band INCAR
echo "band"; time mpirun -np 16 vasp_std
#处理能带数据
vaspkit -task n #根据下面说明自行选择
### 211) Band-Structure
### 212) Projected Band-Structure for Selected Atom
### 213) Projected Band-Structure for Each Element
### 214) The Sum of Projected Band-Structure for Selected Atoms
### 215) Projected Band-Structure by Element Weight
###
运行后得到包含能带数据的dat文件
Si的能带图:
Si的轨道投影能带:
态密度计算
注:与能带计算差不多,只是不需要修改K点。也可以直接用能带计算中得到的态密度。
必要的文件:
INCAR-scf
INCAR-dos
KPOINTS
POTCAR
run_dos.sh
#!/bin/bash
cat > POSCAR <<!
Primitive Cell
1.000000
0.00000000000000 2.73423319845426 2.73423319845426
2.73423319845426 0.00000000000000 2.73423319845426
2.73423319845426 2.73423319845426 0.00000000000000
Si
2
DIRECT
0.0000000000000000 0.0000000000000000 0.0000000000000000
0.2500000000000000 0.2500000000000000 0.2500000000000000
!
cat > KPOINTS <<!
A
0
M
21 21 21
0 0 0
!
cat > INCAR-scf <<!
ISTART=0
ICHARG=2
PREC=Accurate
GGA = PE
ADDGRID =.TRUE.
# Electronic relaxation
ENCUT=500
EDIFF=1E-8
EDIFFG=-0.001
ISMEAR=0
SIGMA = 0.05
POTIM=0.20
# Other Tags
#PSTRESS=
# Write flags
LWAVE=.TRUE.
LCHARG=.TRUE.
!
cat > INCAR-dos <<!
Global Parameters
ISTART = 1 (Read existing wavefunction; if there)
ICHARG = 11 (Non-self-consistent: GGA/LDA band structures)
LREAL = F (Projection operators: automatic)
ENCUT = 500 (Cut-off energy for plane wave basis set, in eV)
PREC = Accurate (Precision level)
LWAVE = .TRUE. (Write WAVECAR or not)
LCHARG = .TRUE. (Write CHGCAR or not)
ADDGRID= .TRUE. (Increase grid; helps GGA convergence)
# LVTOT = .TRUE. (Write total electrostatic potential into LOCPOT or not)
# LVHAR = .TRUE. (Write ionic + Hartree electrostatic potential into LOCPOT or not)
# NELECT = (No. of electrons: charged cells; be careful)
# LPLANE = .TRUE. (Real space distribution; supercells)
# NPAR = 4 (Max is no. nodes; don't set for hybrids)
Electronic Relaxation
ISMEAR = 0 (Gaussian smearing; metals:1)
SIGMA = 0.05 (Smearing value in eV; metals:0.2)
# NELM = 60 (Max electronic SCF steps)
# NELMIN = 4 (Min electronic SCF steps)
EDIFF = 1E-08 (SCF energy convergence; in eV)
GGA = PE (PBEsol exchange-correlation)
LORBIT=11 (plot projection band need to set)
NEDOS = 2000
Ionic Relaxation
# NELMIN = 6 (Min electronic SCF steps)
NSW = 0 (Max electronic SCF steps)
IBRION = -1 (Algorithm: 0-MD; 1-Quasi-New; 2-CG)
ISIF = 2 (Stress/relaxation: 2-Ions, 3-Shape/Ions/V, 4-Shape/Ions)
EDIFFG = -0.001 (Ionic convergence; eV/AA)
#ISYM = 0 (Symmetry: 0=none; 2=GGA; 3=hybrids)
!
#自洽计算
cp INCAR-scf INCAR
echo "scf"; time mpirun -np 16 vasp_std
rm INCAR
#更换KPOINTS文件
cp INCAR-dos INCAR
echo "dos"; time mpirun -np 16 vasp_std
vaspkit -task n #根据需要选择下面的参数,参照手册说明,有些需要给出元素,个数
### 111) Total Density-of-States
### 112) Projected Density-of-States for Selected Atoms
### 113) Projected Density-of-States for Each Element
### 114) The Sum of Projected Density-of-States for Selected Atoms
### 115) The Sum of Projected DOS for Selected Atoms and Orbitals
### 116) Local Density-of-States for Each Element
### 117) Total Density-of-States with Adjustable Smearing Width
Si的band-dos图如下:
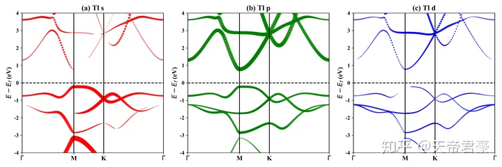
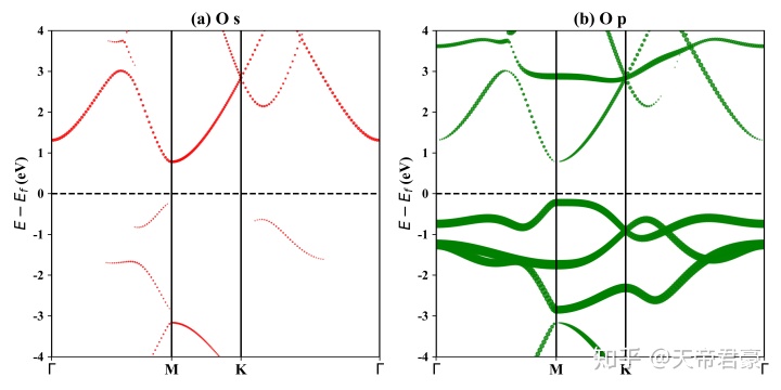
二维材料1T-Tl2O的能带示例
PBE
1T-Tl2O的能带态密度:
1T-Tl2O的投影能带:
DAMO开发者矩阵,由阿里巴巴达摩院和中国互联网协会联合发起,致力于探讨最前沿的技术趋势与应用成果,搭建高质量的交流与分享平台,推动技术创新与产业应用链接,围绕“人工智能与新型计算”构建开放共享的开发者生态。
更多推荐



所有评论(0)