【数字信号处理】第一章 离散时间信号系统 ,系统的因果性和稳定性,线性卷积的计算,连续时间信号的抽样(清华大学)
线性卷积的计算,系统的因果性和稳定性,连续时间信号的抽样
目录
1.2.4 系统的因果性和稳定性
线性卷积的计算

计算它们的卷积的步骤如下:
(1)折叠:先在哑变量坐标轴k上画出x(k)和h(k),将h(k)以纵坐标为对称轴折叠成 h(-k)。
(2)移位:将h(-k)移位n,得h(n-k)。当n为正数时,右移n;当n为负数时,左移n。
(3)相乘:将h(n-k)和x(k)的对应取样值相乘。
(4)相加:把所有的乘积累加起来,即得y(n)。
计算线性卷积时,一般要分几个区间分别加以考虑,下面举例说明。
例 已知x(n)和h(n)分别为:

和

a为常数,且1<a,试求x(n)和h(n)的线性卷积。
解 参看图,分段考虑如下:

(1)对于n<0;
(2)对于0≤n≤4;
(3)对于n>4,且n-6≤0,即4<n≤6;
(4)对于n>6,且n-6≤4,即6<n≤10;
(5)对于(n-6)>4,即n>10。
图解说明

(2)在0≤n≤4区间上





综合以上结果,y(n)可归纳如下:

卷积结果y(n)如图所示

设有一线性时不变系统,其单位取样响应为

(2)在0<n<N 区间上
(3)在n>N 区间上

例
设有一线性时不变系统,其





对有限长序列相卷,可用竖乘法

注:
1. 各点要分别乘、分别加且不跨点进位;
2. 卷和结果的起始序号等于两序列的其实序号之和。
由上面几个例子的讨论可见,

设x(n)和h(n)两序列的长度分别是N 和M ,线性卷积后的序列长度为(N + M -1)。
线性卷积满足以下运算规律:
交换律
结合律
分配律
序列本身与单位取样序列的线性卷积等于序列本身:

如果序列与一个移位的单位取样序列(n-n0)进行线性卷积,就相当于将序列本身移位n0:



1.2.4 系统的因果性和稳定性
在系统中,若输出y(n)只取决于n时刻,以及n时刻以前的输入,即
![]()
称该系统是因果系统。因果系统是指输出的变化不领先于输入的变化的系统。
对于线性时不变系统,具有因果性的充要条件是系统的单位取样响应满足:

稳定系统
稳定系统是指对于每个有界输入x(n),都产生有界输出y(n)的系统。即如果|x(n)|≤M(M为正常数),有|y(n)|<+∞,则该系统被称为稳定系统。
对一个线性时不变系统来说,系统稳定的充要条件是单位取样响应绝对可和,即
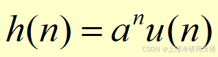
设某线性时不变系统,其单位取样响应为

式中a是实常数,试分析该系统的因果稳定性。
解:由于n<0时,h(n)=0,故此系统是因果系统。

所以 |a|<1 时,此系统是稳定系统。
设某线性时不变系统,其单位取样响应为

式中a是实常数,试分析该系统的因果稳定性。
解:(1)讨论因果性
由于n<0时,h(n)0,故此系统是非因果系统。
(2)讨论稳定性

所以 |a|>1 时,此系统是稳定系统。
1.3 常系数差分方程
连续时间线性时不变系统——》线性常系数微分方程
离散时间线性时不变系统——》线性常系数差分方程
一个N 阶线性常系数差分方程用下式表示:
求解差分方程的基本方法有三种:

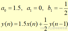
设差分方程为

求输出序列设系统参数

设输入为
初始条件为
解:

依次类推

初始条件为

差分方程表示法的另一优点是可以直接得到系统的结构

1.4 连续时间信号的抽样

1.信号经过采样以后,将发生一些什么变化?例如,信号频谱将发生怎样变化;
2.经过采样后信号内容会不会有丢失;
3.如果信号没有被丢失,其反变换应该怎样进行,即由数字信号恢复成模拟信号应该具备那些条件等
1.4.1 采样

一、理想采样


单位冲激函数

二、频谱的周期延拓

由于是周期函数
可用傅立叶级数表示,即




采样信号的傅氏变换为


采样信号的频谱是原模拟信号频谱的周期延拓,其延拓周期为Ω 。
讨论: 

采样定理 :
要想采样后能够不失真地还原出原信号,则采样频率必须大于两倍原信号频谱的最高截止频率(s2C)。
由上面的分析有,频谱发生混叠的原因有两个:
1.采样频率低
2.连续信号的频谱没有被限带

1.4.2 采样的恢复


时域分析




采样内插公式说明:只要满足采样频率高于两倍信号最高截止频率,则整个连续时间信号就可以用它的采样值来完全代表,而不会丢失任何信息。


DAMO开发者矩阵,由阿里巴巴达摩院和中国互联网协会联合发起,致力于探讨最前沿的技术趋势与应用成果,搭建高质量的交流与分享平台,推动技术创新与产业应用链接,围绕“人工智能与新型计算”构建开放共享的开发者生态。
更多推荐



所有评论(0)