【无人船】基于模型预测控制(MPC)对USV进行自主控制研究附Matlab代码
无人水面艇(Unmanned Surface Vehicle, USV)作为海洋工程领域的核心装备,凭借无人员伤亡风险、作业范围广、续航能力强等优势,已广泛应用于海洋环境监测、水上安防巡逻、港口物流运输、应急搜救及军事侦察等多元场景。其自主控制性能直接决定任务执行的精度、效率与安全性,是衡量USV智能化水平的核心指标。与无人机、地面机器人相比,USV的运行环境具有强扰动、高耦合、动态多变等显著特征
✅作者简介:热爱科研的Matlab仿真开发者,擅长数据处理、建模仿真、程序设计、完整代码获取、论文复现及科研仿真。
🍎 往期回顾关注个人主页:Matlab科研工作室
🍊个人信条:格物致知,完整Matlab代码及仿真咨询内容私信。
🔥 内容介绍
一、研究背景与意义
无人水面艇(Unmanned Surface Vehicle, USV)作为海洋工程领域的核心装备,凭借无人员伤亡风险、作业范围广、续航能力强等优势,已广泛应用于海洋环境监测、水上安防巡逻、港口物流运输、应急搜救及军事侦察等多元场景。其自主控制性能直接决定任务执行的精度、效率与安全性,是衡量USV智能化水平的核心指标。
与无人机、地面机器人相比,USV的运行环境具有强扰动、高耦合、动态多变等显著特征:海洋环境中水流、波浪、风力等动力因素持续干扰艇体运动,导致侧向漂移、姿态震荡等问题;船体自身动力学特性呈现强非线性,航向与航速、横摇与纵摇之间存在复杂耦合关系,且水动力参数随航速、吃水深度等状态动态变化,模型不确定性显著;同时,港口、内河等复杂水域存在大量静态障碍物(岛屿、桥墩)与动态目标(商船、渔船),对USV的实时避障与多目标协同控制提出严苛要求。
传统控制方法(如PID控制、线性二次型调节器)难以有效处理多约束耦合、模型不确定性及动态环境扰动等问题,在复杂场景下易出现跟踪精度不足、避障响应滞后等缺陷。模型预测控制(Model Predictive Control, MPC)作为一种基于动态模型的闭环优化控制策略,通过“预测-优化-反馈”的核心机制,具备多约束显式处理、动态轨迹优化及强鲁棒性等独特优势,能够精准匹配USV自主控制的技术需求,为解决复杂海洋环境下的USV稳定航行、精准跟踪与安全避障难题提供了高效解决方案。开展基于MPC的USV自主控制研究,对推动USV从“半自主辅助作业”向“全自主智能运行”升级,拓展其在海洋工程、安防保障等领域的应用边界具有重要理论价值与工程意义。
二、USV自主控制的核心挑战与MPC适配性分析
2.1 USV自主控制的核心技术挑战
2.1.1 环境扰动与动力学特性的强耦合
海洋环境的多因素扰动对USV运动影响显著:水流(流速0.5-2m/s)在USV低速行驶(≤3m/s)时,可导致侧向漂移量达航速的30%-50%;3级海况下(浪高0.5-1.25m),船体横摇、纵摇运动会使GPS定位误差从1m增至3m,传感器测量噪声显著增大;5级风力产生的侧向推力矩还会直接破坏航向稳定性。同时,USV的水动力特性(阻力、侧向力、力矩)随航速非线性变化,如航速从5m/s增至10m/s时,阻力近似与航速平方成正比,且附加质量、阻尼系数等关键参数难以通过机理建模精确获取,受水温、盐度等环境因素影响,模型误差可能超过20%,进一步加剧了控制难度。
2.1.2 多目标与多约束的协同优化难题
USV自主控制需在满足多重约束的前提下,平衡多维度任务目标:物理约束方面,推进系统螺旋桨转速通常≤3000r/min,舵机转角限制在±30°,吃水深度需规避浅滩搁浅风险;安全约束要求与静态障碍物保持≥2倍艇长的距离,与动态目标的碰撞避免时间≥30s;任务目标则需兼顾路径跟踪精度(侧向偏差≤1m)、航速调节(按预定时间抵达目标点)与能耗优化(燃油或电力消耗最小化)。传统控制方法采用分立式控制逻辑,难以处理目标间的耦合关系,易出现“顾此失彼”的问题,如避障转向时过度调整航向导致轨迹跟踪精度下降。
2.1.3 动态场景的实时响应与鲁棒性需求
港口、内河等复杂水域中,动态障碍物的运动状态可能突发突变(如商船突然转向、渔船横穿航线),要求USV在5-10秒内完成避障决策与控制调整;任务切换(如从巡航模式转为定点监测)时,需快速优化控制策略,避免航速骤变、航向急转引发的艇体震荡。同时,模型简化、传感器噪声及环境扰动的不确定性,要求控制系统具备强鲁棒性,能够在参数失配、扰动突变场景下维持稳定控制性能。
2.2 MPC与USV自主控制的适配性优势
2.2.1 动态预测能力适配环境扰动
MPC基于USV动力学模型(融合水动力、推进力等特性),结合当前状态与控制输入,可预测未来多个时刻的艇体位置、速度、航向等状态,提前预判环境扰动的影响。例如,通过预测模型能精准估算特定水流条件下USV3秒后的运动轨迹,为规避侧向漂移、姿态震荡提供前瞻性决策依据,相比传统反馈控制更具抗干扰主动性。
2.2.2 显式约束处理适配多目标需求
MPC可将USV的物理约束、安全约束与任务约束直接纳入优化框架,通过目标函数权重分配实现多目标协同优化。例如,在优化求解时直接限定舵角、螺旋桨转速的取值范围,规避执行器过载;将障碍物安全距离转化为位置约束条件,确保控制指令满足安全需求,无需额外设计约束补偿机制,解决了传统控制方法约束处理繁琐的难题。
2.2.3 滚动优化机制适配实时性要求
MPC采用“滚动时域优化”策略,每个控制周期仅基于当前最新状态(经传感器融合与滤波处理后)进行局部预测与优化,仅执行优化结果的第一个控制量,下一周期重复该过程。这种机制使USV能实时响应环境变化与模型偏差,如突遇强水流时,可在1秒内重新规划轨迹并调整控制量,有效平衡实时性与控制精度。
三、基于MPC的USV自主控制策略设计
基于MPC的USV自主控制体系构建闭环架构,涵盖“环境感知-状态估计-轨迹优化-控制执行”四大核心模块,实现复杂场景下的精准控制与安全运行。
3.1 环境感知与状态估计
环境感知与状态估计是MPC控制的基础,需通过多源传感器融合与滤波处理,获取精准的艇体状态与周围环境信息。传感器融合方面,整合GPS(定位经纬度)、IMU(测量姿态角与角速度)、雷达(探测障碍物距离与方位)、视觉传感器(识别静态目标)等数据,实现环境信息的全面采集;状态估计滤波采用扩展卡尔曼滤波(EKF)或无迹卡尔曼滤波(UKF),对传感器噪声与模型不确定性进行抑制,如通过EKF将非线性USV动力学模型线性化,递归估计艇体真实位置、速度、航向等状态变量及其协方差,为MPC预测模型提供可靠输入。
3.2 USV动力学模型构建
模型精度直接决定MPC控制效果,需结合USV运动特性构建适配的动力学模型。针对三自由度(纵荡、横荡、艏摇)USV,考虑水动力、推进力、环境扰动等因素,建立非线性动力学方程,描述艇体状态与控制输入(螺旋桨推力、舵机力矩)之间的映射关系。针对模型参数不确定性问题,可引入参数辨识机制,通过递归最小二乘算法在线估计附加质量、阻尼系数等关键参数,实时修正模型,降低预测偏差。
3.3 MPC控制器核心设计
3.3.1 目标函数构建
目标函数需兼顾多任务需求,采用加权求和形式设计,核心项包括:轨迹跟踪误差项(最小化实际位置与预设路径的侧向偏差、航向偏差)、控制平滑项(抑制舵角、推力的突变,减少艇体震荡)、能耗优化项(基于推进功率与航速的三次方关系,最小化能源消耗)。针对避障场景,可引入障碍物惩罚项,当USV与目标距离小于安全阈值时,通过增大惩罚权重迫使轨迹偏离危险区域;同时,结合《国际海上避碰规则》(COLREGS),通过调整代价函数权重实现对遇、交叉相遇等场景的合规避障。
3.3.2 约束条件设定
约束条件分为硬约束与软约束:硬约束包括执行器限制(舵角±30°、螺旋桨转速≤3000r/min、最大转向角速度≤10°/s)、运动学限制(横倾角≤15°,防止侧翻)、安全约束(禁航区不可进入、障碍物安全距离);软约束针对轨迹跟踪精度等非核心指标,允许存在微小偏差,通过惩罚项纳入目标函数,提升控制体系的容错性。
3.3.3 优化求解算法
针对USV动力学模型的非线性特性,可采用非线性MPC(NMPC)提升控制精度,但需解决计算复杂度过高的问题。实际应用中可采用分段线性化技术,将USV运动范围划分为多个线性区域,每个区域采用线性MPC近似控制,降低计算量;或基于深度学习构建代理模型,离线训练神经网络拟合NMPC优化结果,在线查询输出控制量,将计算时间从秒级降至毫秒级,满足实时控制需求。优化问题可通过开源软件CasADi、Gurobi等高效求解,确保控制指令快速生成。
3.4 控制执行与反馈校正
MPC优化生成的控制指令(推力、舵角)传递至USV执行器(推进电机、舵机),驱动艇体运动;同时,通过传感器实时采集艇体状态与环境信息,反馈至状态估计模块,修正模型预测偏差,实现闭环控制。针对任务切换场景(如巡航→定点监测),设计平滑过渡策略,通过动态调整预测时域与目标函数权重,避免控制量突变导致的艇体不稳定。
四、关键技术挑战与未来发展方向
4.1 核心技术挑战
尽管MPC在USV自主控制中展现出显著优势,但实际工程应用仍面临多重瓶颈:一是非线性与实时性的矛盾,NMPC虽能精准描述艇体特性,但计算量随预测时域指数增长,普通嵌入式平台难以满足高动态场景的实时需求;二是模型不确定性的影响,水动力参数时变、环境扰动突变易导致预测模型失配,降低控制鲁棒性;三是多USV协同控制难题,编队航行、联合搜救场景中,艇间耦合约束复杂,单艇MPC难以实现全局最优;四是能源效率与控制性能的平衡,续航能力限制下,如何在保证任务精度的同时最小化能耗仍是关键问题。
4.2 未来发展方向
4.2.1 轻量化MPC算法研发
融合硬件加速与算法优化,提升MPC实时性。一方面,基于FPGA、GPU构建专用计算平台,并行处理优化求解任务;另一方面,发展稀疏优化、预测时域自适应调整技术,在保证控制精度的前提下降低计算复杂度,适配嵌入式系统部署。
4.2.2 鲁棒与自适应MPC技术升级
针对模型不确定性,开发自适应鲁棒MPC算法:通过在线参数辨识实时更新动力学模型,结合鲁棒优化框架,考虑参数不确定性范围(如阻力系数±20%),引入最坏情况约束,确保控制效果稳定。同时,融合强化学习技术,让USV自主学习不同环境下的控制策略,提升对未知扰动的自适应能力。
4.2.3 多USV协同MPC框架构建
针对编队任务需求,发展分布式MPC策略,每艘USV通过通信共享局部状态信息,在目标函数中加入队形保持项(如与邻艇距离偏差),独立优化自身轨迹,降低通信负担与计算量;对于小规模编队,可采用集中式MPC,以整个编队为控制对象,实现全局轨迹最优。同时,引入博弈论思想,解决艇间任务分配与冲突协调问题。
4.2.4 多目标优化与能源效率提升
将能耗模型与任务需求深度融合,构建多目标优化框架,动态调整目标函数权重。结合太阳能、氢能等新能源技术,预测能源补给能力,实时优化航速与轨迹,在满足任务时间要求的前提下最大化续航里程。此外,通过流体力学仿真优化艇体设计,配合MPC控制策略,进一步降低能耗。
4.2.5 跨域协同与智能化升级
推动USV与水下无人潜航器(AUV)、无人机(UAV)的跨域协同控制,构建“空-水-潜”一体化监测网络,基于MPC实现多平台轨迹协同与任务互补。融合机器视觉、语义分割技术,提升USV对复杂环境的认知能力,实现动态障碍物意图识别与自主决策,推动USV向全自主智能系统升级。
五、结论
模型预测控制凭借多约束显式处理、动态轨迹优化、强鲁棒性等核心优势,有效解决了复杂海洋环境下USV自主控制面临的环境扰动、非线性耦合、多目标协同等关键难题,在路径跟踪、动态避障、航速调节等场景中展现出优于传统控制方法的性能。基于MPC的USV自主控制体系,通过“环境感知-状态估计-轨迹优化-控制执行”的闭环设计,能够实现复杂水域下的稳定、精准、安全运行,为USV的工程化应用提供了可靠技术支撑。
尽管目前仍面临非线性计算复杂度、模型不确定性、多艇协同等技术挑战,但随着轻量化算法、自适应技术、多智能体协同等领域的持续突破,MPC将不断完善并拓展应用边界。未来,融合能源优化、跨域协同与智能感知的MPC控制框架,将推动USV从单一任务执行向多场景全自主运行演进,成为海洋环境监测、水上安防保障、港口智能物流等领域的核心支撑技术,为海洋工程智能化发展注入新动力。
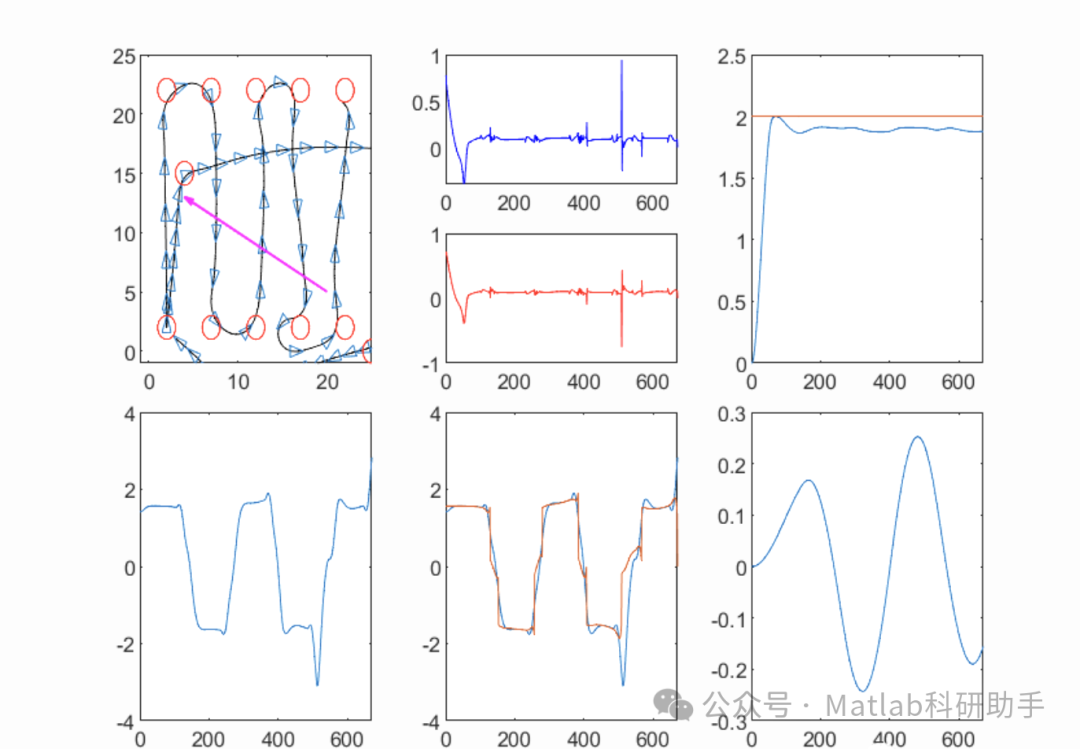
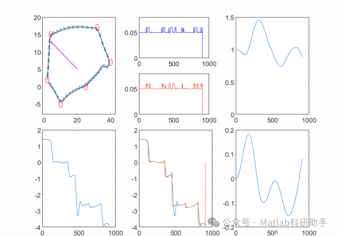
⛳️ 运行结果



🔗 参考文献
[1] 陈昱衡,张海成,邹伟生,等.基于学习型模型预测控制的无人船路径跟踪控制[J].中国造船, 2025(1).
[2] 冯鑫,于双和.基于滑模预测控制的水面无人船轨迹跟踪研究[J].电光与控制, 2023, 30(9):92-98.
[3] 李荣泽.基于模型预测控制的无人艇轨迹跟踪控制技术研究[D].上海海洋大学,2022.
📣 部分代码
🎈 部分理论引用网络文献,若有侵权联系博主删除
👇 关注我领取海量matlab电子书和数学建模资料
🏆团队擅长辅导定制多种科研领域MATLAB仿真,助力科研梦:
🌈 各类智能优化算法改进及应用
生产调度、经济调度、装配线调度、充电优化、车间调度、发车优化、水库调度、三维装箱、物流选址、货位优化、公交排班优化、充电桩布局优化、车间布局优化、集装箱船配载优化、水泵组合优化、解医疗资源分配优化、设施布局优化、可视域基站和无人机选址优化、背包问题、 风电场布局、时隙分配优化、 最佳分布式发电单元分配、多阶段管道维修、 工厂-中心-需求点三级选址问题、 应急生活物质配送中心选址、 基站选址、 道路灯柱布置、 枢纽节点部署、 输电线路台风监测装置、 集装箱调度、 机组优化、 投资优化组合、云服务器组合优化、 天线线性阵列分布优化、CVRP问题、VRPPD问题、多中心VRP问题、多层网络的VRP问题、多中心多车型的VRP问题、 动态VRP问题、双层车辆路径规划(2E-VRP)、充电车辆路径规划(EVRP)、油电混合车辆路径规划、混合流水车间问题、 订单拆分调度问题、 公交车的调度排班优化问题、航班摆渡车辆调度问题、选址路径规划问题、港口调度、港口岸桥调度、停机位分配、机场航班调度、泄漏源定位
🌈 机器学习和深度学习时序、回归、分类、聚类和降维
2.1 bp时序、回归预测和分类
2.2 ENS声神经网络时序、回归预测和分类
2.3 SVM/CNN-SVM/LSSVM/RVM支持向量机系列时序、回归预测和分类
2.4 CNN|TCN|GCN卷积神经网络系列时序、回归预测和分类
2.5 ELM/KELM/RELM/DELM极限学习机系列时序、回归预测和分类
2.6 GRU/Bi-GRU/CNN-GRU/CNN-BiGRU门控神经网络时序、回归预测和分类
2.7 ELMAN递归神经网络时序、回归\预测和分类
2.8 LSTM/BiLSTM/CNN-LSTM/CNN-BiLSTM/长短记忆神经网络系列时序、回归预测和分类
2.9 RBF径向基神经网络时序、回归预测和分类
2.10 DBN深度置信网络时序、回归预测和分类
2.11 FNN模糊神经网络时序、回归预测
2.12 RF随机森林时序、回归预测和分类
2.13 BLS宽度学习时序、回归预测和分类
2.14 PNN脉冲神经网络分类
2.15 模糊小波神经网络预测和分类
2.16 时序、回归预测和分类
2.17 时序、回归预测预测和分类
2.18 XGBOOST集成学习时序、回归预测预测和分类
2.19 Transform各类组合时序、回归预测预测和分类
方向涵盖风电预测、光伏预测、电池寿命预测、辐射源识别、交通流预测、负荷预测、股价预测、PM2.5浓度预测、电池健康状态预测、用电量预测、水体光学参数反演、NLOS信号识别、地铁停车精准预测、变压器故障诊断
🌈图像处理方面
图像识别、图像分割、图像检测、图像隐藏、图像配准、图像拼接、图像融合、图像增强、图像压缩感知
🌈 路径规划方面
旅行商问题(TSP)、车辆路径问题(VRP、MVRP、CVRP、VRPTW等)、无人机三维路径规划、无人机协同、无人机编队、机器人路径规划、栅格地图路径规划、多式联运运输问题、 充电车辆路径规划(EVRP)、 双层车辆路径规划(2E-VRP)、 油电混合车辆路径规划、 船舶航迹规划、 全路径规划规划、 仓储巡逻
🌈 无人机应用方面
无人机路径规划、无人机控制、无人机编队、无人机协同、无人机任务分配、无人机安全通信轨迹在线优化、车辆协同无人机路径规划
🌈 通信方面
传感器部署优化、通信协议优化、路由优化、目标定位优化、Dv-Hop定位优化、Leach协议优化、WSN覆盖优化、组播优化、RSSI定位优化、水声通信、通信上传下载分配
🌈 信号处理方面
信号识别、信号加密、信号去噪、信号增强、雷达信号处理、信号水印嵌入提取、肌电信号、脑电信号、信号配时优化、心电信号、DOA估计、编码译码、变分模态分解、管道泄漏、滤波器、数字信号处理+传输+分析+去噪、数字信号调制、误码率、信号估计、DTMF、信号检测
🌈电力系统方面
微电网优化、无功优化、配电网重构、储能配置、有序充电、MPPT优化、家庭用电
🌈 元胞自动机方面
交通流 人群疏散 病毒扩散 晶体生长 金属腐蚀
🌈 雷达方面
卡尔曼滤波跟踪、航迹关联、航迹融合、SOC估计、阵列优化、NLOS识别
🌈 车间调度
零等待流水车间调度问题NWFSP 、 置换流水车间调度问题PFSP、 混合流水车间调度问题HFSP 、零空闲流水车间调度问题NIFSP、分布式置换流水车间调度问题 DPFSP、阻塞流水车间调度问题BFSP
👇
DAMO开发者矩阵,由阿里巴巴达摩院和中国互联网协会联合发起,致力于探讨最前沿的技术趋势与应用成果,搭建高质量的交流与分享平台,推动技术创新与产业应用链接,围绕“人工智能与新型计算”构建开放共享的开发者生态。
更多推荐

所有评论(0)