【控制】基于Koopman算子理论对软机器人的数据驱动控制研究附Matlab代码
软机器人凭借其柔性结构、高适应性、人机交互安全性等独特优势,在医疗手术、抢险救援、复杂环境探测等领域展现出广阔的应用前景。与传统刚性机器人不同,软机器人的本体由柔性材料(如硅胶、水凝胶)构成,运动过程中存在大范围的弹性形变,其动力学特性呈现出极强的非线性、耦合性和不确定性,这使得软机器人的精准控制成为领域内的核心难题。当前软机器人控制面临多重核心挑战:一是动力学建模难度极大。
✅作者简介:热爱科研的Matlab仿真开发者,擅长数据处理、建模仿真、程序设计、完整代码获取、论文复现及科研仿真。
🍎 往期回顾关注个人主页:Matlab科研工作室
🍊个人信条:格物致知,完整Matlab代码获取及仿真咨询内容私信。
🔥 内容介绍
软机器人凭借其柔性结构、高适应性、人机交互安全性等独特优势,在医疗手术、抢险救援、复杂环境探测等领域展现出广阔的应用前景。与传统刚性机器人不同,软机器人的本体由柔性材料(如硅胶、水凝胶)构成,运动过程中存在大范围的弹性形变,其动力学特性呈现出极强的非线性、耦合性和不确定性,这使得软机器人的精准控制成为领域内的核心难题。
当前软机器人控制面临多重核心挑战:一是动力学建模难度极大。传统刚性机器人的动力学模型可基于牛顿-欧拉方程或拉格朗日方程精准构建,但软机器人的柔性形变导致其自由度极高,材料本构关系复杂,且形变过程中存在显著的几何非线性和材料非线性,难以通过传统机理分析方法建立精准的数学模型;二是模型依赖性控制方法失效。常规的模型预测控制、滑模控制等方法高度依赖精准的动力学模型,在软机器人的强非线性特性面前,控制精度大幅下降,甚至无法保证系统稳定;三是环境干扰的鲁棒性需求高。软机器人多应用于非结构化环境(如人体内部、坍塌废墟),环境中的接触力、摩擦力等干扰具有随机性和不确定性,进一步加剧了控制难度;四是实时控制需求难以满足。部分软机器人应用场景(如微创手术)对控制响应速度要求极高,复杂的建模和计算过程会导致控制延迟,影响任务安全性和可靠性。
数据驱动控制方法通过直接利用系统输入输出数据构建控制模型,无需依赖精准的机理模型,为破解软机器人控制难题提供了有效思路。而Koopman算子理论作为一种强大的线性化工具,能够将非线性系统的分析转化为线性空间中的问题,完美契合数据驱动控制的需求。将Koopman算子理论与数据驱动控制相结合,可充分发挥两者优势,实现对软机器人强非线性系统的精准、高效控制。
核心逻辑:Koopman算子理论与数据驱动控制的融合机制
先理清:Koopman算子理论的核心价值——非线性系统的线性化转换
Koopman算子理论的核心思想是通过引入合适的观测函数,将非线性系统映射到一个高维的线性空间(Koopman空间)中,在该空间内,原本非线性的系统演化过程可通过线性的Koopman算子来描述。简单来说,就是“非线性系统本身不变,通过‘换个角度’(选择合适的观测函数),让系统的演化规律变得线性可解”。
对于软机器人这类强非线性系统,Koopman算子理论的价值主要体现在两方面:一是规避了复杂的机理建模,无需深入分析软机器人的柔性形变机理和材料本构关系,仅通过系统的输入输出数据即可辨识出Koopman算子,进而构建线性化的预测模型;二是继承了线性控制理论的成熟优势,在Koopman空间内,可直接采用线性二次调节器(LQR)、模型预测控制(MPC)等成熟的线性控制方法设计控制器,降低了控制算法的设计难度,同时保证了控制精度和稳定性。
数据驱动与Koopman算子的融合逻辑:从数据到控制的闭环链路
基于Koopman算子理论的软机器人数据驱动控制,核心是构建“数据采集- Koopman算子辨识-线性控制器设计-控制指令输出”的闭环链路,各环节协同实现对软机器人的精准控制:
首先,通过传感器采集软机器人的输入输出数据,包括控制输入(如气动软机器人的气压、绳驱动软机器人的绳拉力)和状态输出(如末端位置、姿态、形变位移);其次,基于采集的数据进行Koopman算子辨识,核心是选择合适的观测函数(如多项式函数、三角函数、径向基函数等),将非线性的状态数据映射到高维Koopman空间,再通过动态模态分解(DMD)、扩展动态模态分解(EDMD)等数据驱动方法,从映射后的数据中辨识出线性的Koopman算子和对应的特征函数;再次,在Koopman空间内基于辨识得到的线性模型,设计线性控制器(如LQR控制器、模型预测控制器),生成Koopman空间内的控制指令;最后,通过观测函数的逆映射,将Koopman空间内的控制指令转换为软机器人的实际控制输入,驱动软机器人完成预设任务。
这种融合架构的优势在于:整个控制过程完全依赖数据驱动,无需机理建模;通过Koopman算子实现了非线性系统的线性化,保障了控制的精度和稳定性;控制算法的设计和实现难度低,易于工程化应用。
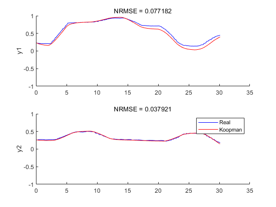
⛳️ 运行结果



📣 部分代码
🔗 参考文献
🎈 部分理论引用网络文献,若有侵权联系博主删除
👇 关注我领取海量matlab电子书和数学建模资料
🏆团队擅长辅导定制多种科研领域MATLAB仿真,助力科研梦:
🌟 各类智能优化算法改进及应用
生产调度、经济调度、装配线调度、充电优化、车间调度、发车优化、水库调度、三维装箱、物流选址、货位优化、公交排班优化、充电桩布局优化、车间布局优化、集装箱船配载优化、水泵组合优化、解医疗资源分配优化、设施布局优化、可视域基站和无人机选址优化、背包问题、 风电场布局、时隙分配优化、 最佳分布式发电单元分配、多阶段管道维修、 工厂-中心-需求点三级选址问题、 应急生活物质配送中心选址、 基站选址、 道路灯柱布置、 枢纽节点部署、 输电线路台风监测装置、 集装箱调度、 机组优化、 投资优化组合、云服务器组合优化、 天线线性阵列分布优化、CVRP问题、VRPPD问题、多中心VRP问题、多层网络的VRP问题、多中心多车型的VRP问题、 动态VRP问题、双层车辆路径规划(2E-VRP)、充电车辆路径规划(EVRP)、油电混合车辆路径规划、混合流水车间问题、 订单拆分调度问题、 公交车的调度排班优化问题、航班摆渡车辆调度问题、选址路径规划问题、港口调度、港口岸桥调度、停机位分配、机场航班调度、泄漏源定位、冷链、时间窗、多车场等、选址优化、港口岸桥调度优化、交通阻抗、重分配、停机位分配、机场航班调度、通信上传下载分配优化
🌟 机器学习和深度学习时序、回归、分类、聚类和降维
2.1 bp时序、回归预测和分类
2.2 ENS声神经网络时序、回归预测和分类
2.3 SVM/CNN-SVM/LSSVM/RVM支持向量机系列时序、回归预测和分类
2.4 CNN|TCN|GCN卷积神经网络系列时序、回归预测和分类
2.5 ELM/KELM/RELM/DELM极限学习机系列时序、回归预测和分类
2.6 GRU/Bi-GRU/CNN-GRU/CNN-BiGRU门控神经网络时序、回归预测和分类
2.7 ELMAN递归神经网络时序、回归\预测和分类
2.8 LSTM/BiLSTM/CNN-LSTM/CNN-BiLSTM/长短记忆神经网络系列时序、回归预测和分类
2.9 RBF径向基神经网络时序、回归预测和分类
2.10 DBN深度置信网络时序、回归预测和分类
2.11 FNN模糊神经网络时序、回归预测
2.12 RF随机森林时序、回归预测和分类
2.13 BLS宽度学习时序、回归预测和分类
2.14 PNN脉冲神经网络分类
2.15 模糊小波神经网络预测和分类
2.16 时序、回归预测和分类
2.17 时序、回归预测预测和分类
2.18 XGBOOST集成学习时序、回归预测预测和分类
2.19 Transform各类组合时序、回归预测预测和分类
方向涵盖风电预测、光伏预测、电池寿命预测、辐射源识别、交通流预测、负荷预测、股价预测、PM2.5浓度预测、电池健康状态预测、用电量预测、水体光学参数反演、NLOS信号识别、地铁停车精准预测、变压器故障诊断
🌟图像处理方面
图像识别、图像分割、图像检测、图像隐藏、图像配准、图像拼接、图像融合、图像增强、图像压缩感知
🌟 路径规划方面
旅行商问题(TSP)、车辆路径问题(VRP、MVRP、CVRP、VRPTW等)、无人机三维路径规划、无人机协同、无人机编队、机器人路径规划、栅格地图路径规划、多式联运运输问题、 充电车辆路径规划(EVRP)、 双层车辆路径规划(2E-VRP)、 油电混合车辆路径规划、 船舶航迹规划、 全路径规划规划、 仓储巡逻、公交车时间调度、水库调度优化、多式联运优化
🌟 无人机应用方面
无人机路径规划、无人机控制、无人机编队、无人机协同、无人机任务分配、无人机安全通信轨迹在线优化、车辆协同无人机路径规划、
🌟 通信方面
传感器部署优化、通信协议优化、路由优化、目标定位优化、Dv-Hop定位优化、Leach协议优化、WSN覆盖优化、组播优化、RSSI定位优化、水声通信、通信上传下载分配
🌟 信号处理方面
信号识别、信号加密、信号去噪、信号增强、雷达信号处理、信号水印嵌入提取、肌电信号、脑电信号、信号配时优化、心电信号、DOA估计、编码译码、变分模态分解、管道泄漏、滤波器、数字信号处理+传输+分析+去噪、数字信号调制、误码率、信号估计、DTMF、信号检测
🌟电力系统方面
微电网优化、无功优化、配电网重构、储能配置、有序充电、MPPT优化、家庭用电、电/冷/热负荷预测、电力设备故障诊断、电池管理系统(BMS)SOC/SOH估算(粒子滤波/卡尔曼滤波)、 多目标优化在电力系统调度中的应用、光伏MPPT控制算法改进(扰动观察法/电导增量法)、电动汽车充放电优化、微电网日前日内优化、储能优化、家庭用电优化、供应链优化\智能电网分布式能源经济优化调度,虚拟电厂,能源消纳,风光出力,控制策略,多目标优化,博弈能源调度,鲁棒优化
电力系统核心问题经济调度:机组组合、最优潮流、安全约束优化。新能源消纳:风光储协同规划、弃风弃光率量化、爬坡速率约束建模多能耦合系统:电-气-热联合调度、P2G与储能容量配置新型电力系统关键技术灵活性资源:虚拟电厂、需求响应、V2G车网互动、分布式储能优化稳定与控制:惯量支撑策略、低频振荡抑制、黑启动预案设计低碳转型:碳捕集电厂建模、绿氢制备经济性分析、LCOE度电成本核算风光出力预测:LSTM/Transformer时序预测、预测误差场景生成(GAN/蒙特卡洛)不确定性优化:鲁棒优化、随机规划、机会约束建模能源流分析、PSASP复杂电网建模,经济调度,算法优化改进,模型优化,潮流分析,鲁棒优化,创新点,文献复现微电网配电网规划,运行调度,综合能源,混合储能容量配置,平抑风电波动,多目标优化,静态交通流量分配,阶梯碳交易,分段线性化,光伏混合储能VSG并网运行,构网型变流器, 虚拟同步机等包括混合储能HESS:蓄电池+超级电容器,电压补偿,削峰填谷,一次调频,功率指令跟随,光伏储能参与一次调频,功率平抑,直流母线电压控制;MPPT最大功率跟踪控制,构网型储能,光伏,微电网调度优化,新能源,虚拟同同步机,VSG并网,小信号模型
🌟 元胞自动机方面
交通流 人群疏散 病毒扩散 晶体生长 金属腐蚀
🌟 雷达方面
卡尔曼滤波跟踪、航迹关联、航迹融合、SOC估计、阵列优化、NLOS识别
🌟 车间调度
零等待流水车间调度问题NWFSP 、 置换流水车间调度问题PFSP、 混合流水车间调度问题HFSP 、零空闲流水车间调度问题NIFSP、分布式置换流水车间调度问题 DPFSP、阻塞流水车间调度问题BFSP
👇
5 往期回顾扫扫下方二维码
DAMO开发者矩阵,由阿里巴巴达摩院和中国互联网协会联合发起,致力于探讨最前沿的技术趋势与应用成果,搭建高质量的交流与分享平台,推动技术创新与产业应用链接,围绕“人工智能与新型计算”构建开放共享的开发者生态。
更多推荐


所有评论(0)