FAST-LIVO:快速紧耦合稀疏直接激光视觉里程计
多传感器融合被证明是一种能够在SLAM任务中取得准确和鲁棒位姿估计的有效解决方案,因而在机器人应用中具有无限可能。本文提出了FAST-LIVO方法,一种快速的雷达-惯性-视觉里程计,其中包含了两个紧耦合的直接里程计子系统:一个VIO子系统和一个LIO子系统。LIO子系统registers激光的原始点云数据(而不是平面或者边上的特征点)到一个增量点云地图中。点云地图中的三维点带有颜色纹理信息,这样不
1. 代码地址
https://github.com/hku-mars/FAST-LIVO
2. 摘要
多传感器融合被证明是一种能够在SLAM任务中取得准确和鲁棒位姿估计的有效解决方案,因而在机器人应用中具有无限可能。本文提出了FAST-LIVO方法,一种快速的雷达-惯性-视觉里程计,其中包含了两个紧耦合的直接里程计子系统:一个VIO子系统和一个LIO子系统。LIO子系统registers激光的原始点云数据(而不是平面或者边上的特征点)到一个增量点云地图中。点云地图中的三维点带有颜色纹理信息,这样不用提取任何的视觉特征点(ORB或者Fast角点),就可以被VIO子系统通过最小光度误差与最新的图像帧对齐。为了进一步提高VIO子系统的鲁棒性和准确度,提出了一个新型的外点剔除方法,用来剔除位于边缘或者图像视野被遮挡区域的不稳定地图点。我们在开源的数据集和自己实验设备录制的数据集上进行了相关的测试。实验结果表明我们提出的方法比同行要牛逼,并且在算力消耗较小的情况下能够应对一些挑战场景。这个系统不仅仅支持多线激光雷达,而且也支持固态激光雷达,同时还能够在Intel和ARM平台实时运行。为了造福机器人社区,我们开源了我们相关工作的代码和数据集。
3. 介绍
最近这几年,SLAM在实时三维重建和未知环境中的定位领域取得了巨大的进步。目前,基于单一传感器如相机 [1, 2] 或者激光雷达 [3-5] 已经有了一些比较成功的实现算法。然而,随着在现实环境中(通常包含具有挑战性的无结构或无纹理环境)使用机器人的需求不断增加,现有的基于单一传感器的算法无法实现准确和鲁棒的姿态估计。为了解决这个问题,多传感器融合 [6-9] 引起了越来越多的注意,由于其结合了不同传感器的优点,因而能够在传感器退化的场景中提供有效的姿态估计,在机器人应用中展现出了无限可能。
在机器人使用的传感器中,相机、激光雷达和IMU应该是搞SLAM最常用的传感器了。最近提出了几个为实现鲁棒状态估计的 LIVO 系统,如 R2LIVE [10] 和 LVI-SAM [11]。它们通常包括了一个LIO子系统和一个 VIO 子系统,各子系统单独处理数据,然后融合子系统的状态向量(没有考虑在测量级别上进行融合)。这样的系统占用了大量的计算资源。为了解决这个问题,我们提出了一种快速紧耦合的稀疏直接激光雷达惯性视觉里程计系统 (FAST-LIVO),该系统结合了稀疏直接图像与直接原始点对齐的优点,实现了在算力消耗较小的情况下准确可靠的姿态估计。本文的贡献如下:
- 一个紧耦合的激光雷达惯性视觉里程计框架,包含了两个直接紧耦合的里程计系统:LIO子系统和VIO子系统。这两个子系统通过将各自的激光雷达或视觉数据与IMU融合,共同估计系统状态。
- 一个直接的高效的在最大程度复用了LIO子系统构建的点云地图的VIO子系统。具体而言,地图中的点附加了以前观察到图像的纹理,将它们投影到新图像中,之后通过最小化光度误差的方式估计新图像的位姿(因此是完整的系统状态)。VIO子系统中复用了激光雷达点避免了视觉特征的提取、三角测量或优化,并在测量级别将两个传感器耦合。
- 开源,该软件可以在Intel和ARM处理器上实时运行,并支持多线旋转激光雷达和具有完全不同扫描模式的新兴固态激光雷达。
- 在开源数据集和我们定制的设备数据上验证了我们的算法。结果表明,我们的系统性能优于其他同行,且能够以较低的算力处理具有挑战性的传感器退化环境。
4. 系统概述


本文的符号表示如表1所示。我们整个系统流程如图1所示,其中包含了两个子系统:LIO子系统(蓝色)和VIO子系统(红色)。LIO子系统首先通过反向传播 [24] 补偿激光雷达帧的运动畸变,然后再计算单帧到地图的残差、点到面的残差。类似的,VIO子系统从全局视觉地图中提取相机FOV内的子地图,然后剔除子地图中的外点(不连续点和被遮挡点);然后进行稀疏-直接视觉对齐计算frame-to-map的图像光度误差。最后激光的point-to-plane残差和视觉光度误差与IMU前向传播在ESIKF框架中紧耦合。融合的位姿用于把新的激光点转换到世界坐标系并添加到地图点云中。
5. 状态估计
FAST-LIVO的状态估计是一个紧耦合的融合激光雷达、相机和IMU测量数据的误差状态迭代卡尔曼滤波器(ESIKF)。这里我们主要解释下系统模型(系统状态传递模型和观测模型)。读者可以参考 [25] 进一步了解流形上的ISIKF的详细结构和实现。
5.1. 方框加与方框减运算
在本节中,我们使用和
来表示流形
上的状态误差。更具体地,对于本文中的
,有以下:

其中,
;指数和对数运算代表了旋转矩阵和旋转向量通过罗德里格斯公式的双向映射。
5.2. 状态转移模型
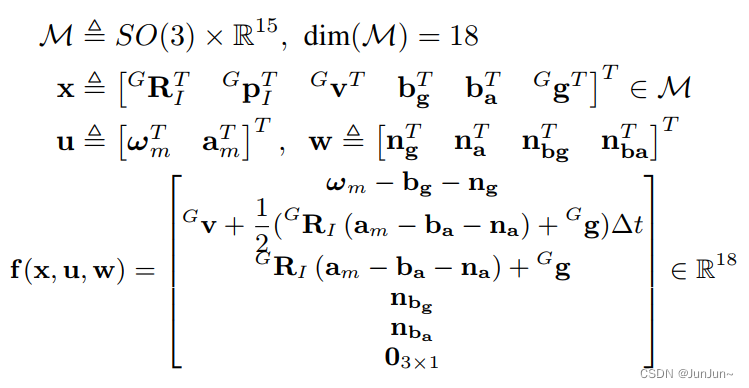
在我们的系统中,我们假设三个传感器(激光雷达,IMU和相机)之间的时间偏差是已知的(提前通过标定或者硬同步)。我们把IMU坐标系当作body坐标系(符号表示为I),同时第一帧的body坐标系作为全局坐标系(符号表示为G)。此外,我们假设三个传感器之间是刚性连接,且彼此之间的外参(在表I中定义)也是标定好的。然后在IMU第i次的测试时离散状态转移模型:

其中代表了加速度的采样周期,状态x,输入u和噪声w,函数f定义如下:

其中和
表示IMU在全局坐标系中的姿态和位置,
代表了全局坐标系中的重力分量,
和
是IMU的原始测量值,
和
是
,
的测量噪声,
和
是IMU的零偏(which are modeled as random walk driven by Gaussian noise nbg and nba, respectively)。
5.3. 前向传播
我们使用前向传播来预测输入时下一时刻的预测状态
和它的协方差
,更具体的,状态传播过程中通过令方程(1)中的过程噪声
为零:

其中协方差的传播如下:

其中Q是w的协方差,,另外对于
和
具体公式可以参考文献 [10, 24]
状态预测方程 (2) 和协方差的传递方程 (3) 是从时刻(接收到上一帧的激光雷达数据或者图像数据)开始,直到
时刻(接收到当前帧的激光雷达数据或者图像数据)结束;其中IMU的测量值
介于
到
。其中,状态预测方程 (2) 和协方差的传递方程 (3) 的初始状态和协方差是
和
,是通过融合上一帧激光雷达或图像测量值得到的(参考E部分)。我们使用
和
代表了
时刻的状态和协方差。注意,我们并没有强行要求激光雷达数据或者图像数据同时获得。不管是接收到激光雷达数据或者图像数据都会导致状态更新(在E部分进行了详细描述)。
5.4. 帧到地图的测量模型
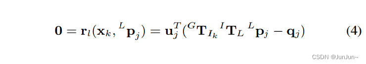
5.4.1. 激光雷达观测模型
如果在时刻接收到了一帧激光雷达数据,我们首先参考 [24] 的方法进行反向传播补偿运动畸变。
代表了在
时刻激光雷达坐标系L中激光帧中的采样点。当把
与地图进行对齐的时候,我们假设每个点都位于地图中由其邻近点构成的平面上(法向量为
中心为
)。这也就是说,当把
使用真实状态
从激光雷达坐标投影到全局坐标系的时候,残差应该为零。

实际上,为了找到由邻近点构成的平面,我们首先使用预测状态把
投影到全局坐标系:
![]()
然后在由ikd-tree中构成的激光雷达全局地图中搜索最近5个点,拟合一个平面。因此,方程 (4) 中暗含了一个在状态的观测模型。考虑到了
中的观测噪声,等式使用因子
加权。
5.4.2. 稀疏-直接视觉对齐观测模型
不同于文献 [15] 的frame-to-frame的图像对齐方式,我们通过最小光度误差以一种coarse-to-fine的方式执行sparse-direct frame-to-map图像对齐,如图2所示:

更具体地,当在时刻接收到了一帧图像数据,我们从全局视觉地图中提取地图点
,并投影到图像的FOV中。对于每个地图点
,它关联有先前不同的图像纹理,我们选择与当前帧观测角最接近的先前帧作为参考(以
表示)。然后把
使用真实状态
投影到图像坐标系
中,
与当前帧的光度误差应该为零。

其中的代表了小孔成像模型,方程 (5) 定义了一个在状态
下隐式的观测模型。它在3个级别上被优化,where on each level the current image and reference path is half sampled from the previous one。优化从最粗糙的级别开始,在某个级别收敛后,优化将进入下一个更精细的级别。考虑到了
中的观测噪声,等式使用因子
加权。
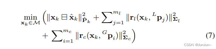
5.5. 误差状态迭代卡尔曼
小节C中推导的预测状态和协方差
提供了状态
的先验分布如下:

结合方程 (6) 中的先验分布,方程 (4) 激光雷达的观测模型和方程 (5) 视觉的观测模型,我们估计最大后验估计。

其中:

需要注意的是,如果在接收到的是激光雷达数据,则方程 (7) 中只有激光雷达观测模型的残差
和IMU前向传播相融合;同样的,如果在
接收到的是图像数据,则方程 (7) 中只有图像观测模型的光度误差
和IMU前向传播相融合。
方程 (7) 是一个非凸问题并且可以使用高斯-牛顿方法迭代求解。这样的迭代优化问题已经被证明等价于迭代卡尔曼滤波 [21]。为了解决流形约束M,在每次的迭代求解时,我们通过小节A中的运算在当前状态估计的切线空间中参数化状态。求得的误差状态再去更新当前的状态估计并处理下一次迭代直至收敛。收敛的状态使用
表示,收敛时的海森矩阵使用
表示;在小节C中它们和输入的IMU数据一起进行前向传播预测。收敛的状态也用来更新激光雷达帧到全局地图中和更新视觉全局地图。
6. 地图管理
我们的地图包含了一个用于LIO子系统的点云地图和一个附有颜色纹理的点地图(用于VIO子系统的视觉全局地图)。
6.1. 雷达全局地图
激光全局地图继承于FAST-LIO2 [16],包含了所有过去的3D点(以增量k-d树结构ikd-tree组织 [26])。ikd-Tree 提供点查询、插入和删除的接口。它还在内部以给定分辨率对点云图进行采样,反复监视其树结构,并通过重建相应的子树来动态平衡树结构。当接收新的LiDAR扫描时,我们使用预测位姿变换每个点,然后在ikd-Tree中轮询获取最近的点。将扫描与IMU融合以获得后,我们使用它将扫描点转换为全局帧,并以LIO速率将它们插入ikd-Tree。
6.2. 视觉全局地图
视觉全局地图是先前观测到激光点的集合。每个点与多个可能观测到它的图片块关联。视觉全局地图的数据结构和更新说明如下:
(1) 数据结构:为了快速发现落入当前FOV中的视觉地图点,我们使用 axis-aligned voxels 来包含视觉全局地图中的点。Voxels are of the same size and organized by a Hash table for fast indexing。A point contained in a voxel is saved with its position, multiple patch pyramids extracted from different reference images, and the camera pose of each patch pyramids.
(2) 视觉子图和外点消除:即使voxels的数量远小于visual map points的数量,确定其中哪一个在当前帧FoV内可能仍然非常耗时,尤其是当 map points (hence voxels) 的数量很大时。为了解决这个问题,we poll these voxels for each point of the most recent LiDAR scan。这可以通过查询voxel Hash table有效地完成。如果相机FoV与激光雷达大致对齐,则落在相机FoV中的map
points 很可能包含在这些voxels中。因此,the visual submap可以通过这些voxels中包含的点获得,然后进行FoV检查。
The visual submap可能包含当前图像帧中被遮挡或深度不连续的map points,这会严重降低VIO精度。为了解决这个问题,we project all the points in the visual submap onto the current frame using the predicted pose in ,在每个40×40像素网格中只保留的最小深度点。此外,我们将最近的激光雷达扫描中的点投影到当前帧,and check if they occlude any map points projected within 9 × 9 neighbor by examining their depth。被遮挡的贴图点被拒绝(见图3),剩余的将用于对齐当前图像。

(3) 更新视觉全局地图:After a new image frame is aligned, we attach patches from the current image to map points within the FoV, so that the map points will likely have effective patches with uniformly distributed viewing angles. 具体而言,我们在帧对齐后选择具有高光度误差的map points,if it has been more than 20 frames from the last time the map point is added with a patch or the map point in the current frame is more than 40 pixels away from its pixel position in the last reference frame where a patch was added, we add a new patch to it。The new patch是从当前大小为8×8像素的图像中提取的。除了the patch pyramid,我们还将the frame pose附加到map point。
除了向地图点添加patches之外,我们还需要向视觉全局地图添加新的地图点。为此,我们将当前图像划分为40×40像素的网格,并在其上投影最近激光雷达扫描的点。Projected LiDAR points with the highest gradient in each grid will be added to the visual global map, along with a patch extracted there and the image pose。为了避免边缘上的激光雷达点被添加到视觉地图中,我们跳过局部曲率较高的边缘点 [3, 13]。
参考文献
FAST-LIVO论文翻译_fast livo-CSDN博客
FAST-LIVO: Fast and Tightly-coupled Sparse-Direct LiDAR-Inertial-Visual Odometry
DAMO开发者矩阵,由阿里巴巴达摩院和中国互联网协会联合发起,致力于探讨最前沿的技术趋势与应用成果,搭建高质量的交流与分享平台,推动技术创新与产业应用链接,围绕“人工智能与新型计算”构建开放共享的开发者生态。
更多推荐



所有评论(0)