球差+同步辐射+DFT计算,南科大何佳清团队今日重磅Science
实际上,热电材料可以实现电热之间的直接和相互转换。然而,由于电和热传输特性的强耦合,开发提高高热电性能的策略具有挑战性。在此,在p型碲化物铅基材料中实现了空穴簇的赝纳米结构和捕获孔释放的动态载流子调节,使声子和载流子输运同时调控。在850开尔文时,zT峰值为2.8,在300~850开尔文时,平均zT值为1.65。在分段模块中,还在554开尔文的温差下,获得了~15.5%的能量转换效率,这也显示了在

实际上,热电材料可以实现电热之间的直接和相互转换。然而,由于电和热传输特性的强耦合,开发提高高热电性能的策略具有挑战性。
在此,南方科技大学何佳清教授等人在p型碲化物铅基材料中实现了空穴簇的赝纳米结构和捕获孔释放的动态载流子调节,使声子和载流子输运同时调控。在850开尔文时,zT峰值为2.8,在300~850开尔文时,平均zT值为1.65。在分段模块中,还在554开尔文的温差下,获得了~15.5%的能量转换效率,这也显示了在中温热电的不同应用中的应用前景。
相关文章以“Pseudo-nanostructure and trapped-hole release induce high thermoelectric performance in PbTe”为题发表在Science上。
研究背景
热在自然界和社会中都是一种未被充分利用的能源,其积累和利用一直是人们关注的热门领域。能够实现直接和反向热电转换的热电材料因其在各种应用中的潜在用途而引起了人们的兴趣。热电模块的转换效率与无量纲品质因数zT与电导率、塞贝克系数、热导率和绝对温度相关。显然,出色的热电品质因数需要高功率因数和低导热系数。不幸的是,这些参数彼此紧密耦合,这使得每个单独参数的独立调整具有挑战性。已经提出并确认了许多提高整体热电性能的有效策略,包括优化(静态或动态)载流子浓度、电平谐振、能带收敛、能量滤波、能带对齐、调控电荷载流子的散射机理、构建全尺度分层缺陷和熵工程。
在这些策略中,构建纳米结构被认为能够调节晶格热导率,而不会严重影响其他热电参数。一般来说,纳米结构缺陷是指大量广泛分散的纳米级次级相,这些次级相与基质产生较大的晶格失配。因此,它们会导致强烈的晶格畸变和应变,从而大大增强声子散射,从而降低晶格热导率。纳米级次级相的尺寸和种类需要精确设计。否则,次级相与基体之间的热膨胀差可能导致加热循环后的应变累积甚至宏观裂纹。
另一种策略是接近最佳载流子浓度 nopt(T),以便在所有温度下获得最大 zT 值。理想的情况是找到一种调节载流子浓度的掺杂机制,使其接近最佳载流子浓度 nopt(T)。例如,建议在硫化铅和碲化锡中引入额外的铜间隙来实现这种动态掺杂效应。然而,间隙铜在温度或电压梯度下的定向迁移也引起了人们对此类材料在长期使用后降解的普遍担忧。
内容详解
本文使用一种赝纳米结构,在纳米尺度上被识别为一簇阳离子空位,以及通过“陷阱空穴释放”过程的动态电荷载流子调节来证明这两种情况同时发生在p型碲化铅(PbTe)中。同时,该过程可以降低晶格热导率以及载流子浓度的调节。当PbTe晶格中赝纳米结构的尺寸在Na和Ge掺杂下缩小到纳米级时(图1A),赝纳米结构对载热声子施加了强散射,并且由于晶格与PbTe基体的相干性,允许携带电荷的空穴有效移动。此外通过用Ge原子取代中心Pb,实现了p型PbTe的俘获空穴释放机制(图1B)。非中心对称的Ge-Te键合能够在低温下捕获携带电荷的空穴,并在Ge原子在高温下以中心为中心时释放它们,从而使空穴浓度随温度动态增加。
结果显示,本文最终得到了850 K时的zT峰值为~2.8,300~850K时的平均zT峰值为~1.65,这两者都是所有报道的p型PbTe系统中最高的(图1C)。基于在本工作中使用的材料,在554 K温度梯度下的自制分段模块中获得了高达~15.5%的能量转换效率(图1D)。这些值是报道的最高的,并显示了热电技术中温应用的发展潜力。
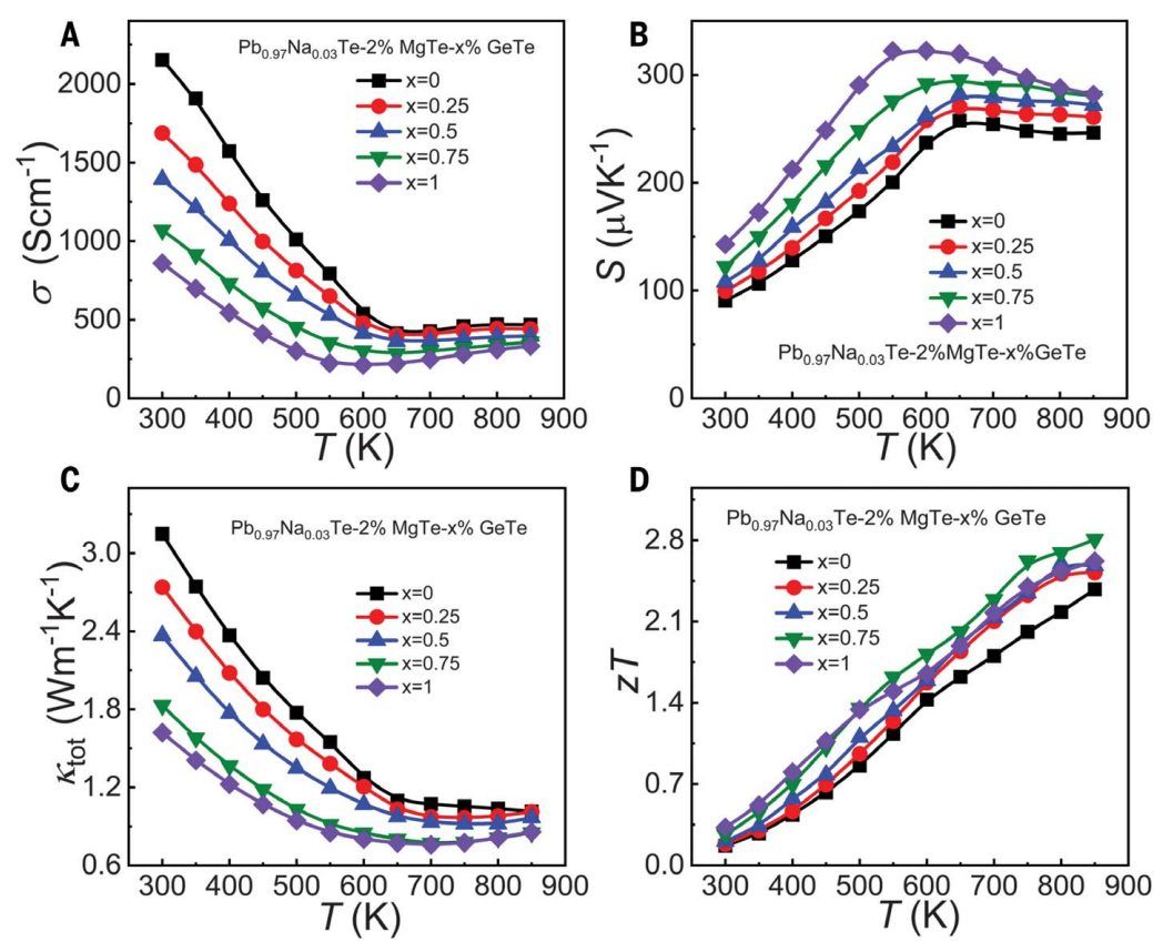
图1. 具有赝纳米结构和俘获空穴释放的高性能PbTe基材料和模块。
作者从Na/Mg共掺杂PbTe开始,Na是PbTe的经典p型掺杂剂,而Mg的实验已经被证明同时能促进带收敛和扩大带隙。结果发现,Ge掺杂(x = 0、0.25、0.5、0.75或1%)对Na/Mg共掺杂Pb0.97Na0.03Te-2%MgTe的热电性能有较大的影响。随着Ge含量的增加,电导率明显降低(图2A),而塞贝克系数则反应相反(图2B)。霍尔测量结果表明,随着Ge掺杂量从0增加到1 mol %,空穴浓度从24.2×1019增加到5.9×1019 cm−3。载流子浓度的降低也导致了迁移率的大幅增加,这有助于材料保持较高的导电率。 同时,电导率和塞贝克系数的温度依赖性也表现出了有趣的行为。所有的锗掺杂样品的电导率突然增加,而塞贝克系数在550到650 K左右开始下降。这种现象不同于双极效应,通常在窄带半导体,因为双极扩散通常导致更明显的变化。Ge的掺杂也导致了总热导率和晶格热导率的显著降低。加上几乎没有发生的功率因数变化,降低的热导率导致峰值 zT 值大幅提高。

图2:Pb0.97Na0.03Te-2%MgTe-x%GeTe(x = 0、0.25、0.5、0.75或1)的热电性能。

图3:孔捕获和释放。

图4:赝纳米结构的表征。

图5:基于PbTe的分段组件的热电性能。
综上所述,本文通过依赖于赝纳米结构和各种形式的掺杂的陷阱空穴释放机制,提高了p型PbTe基热电材料和模块的热电性能。由阳离子空位团簇组成的赝纳米结构有效地阻断了声子输运,但允许空穴通过,从而实现了全面的电子-声子解耦。低温下的空穴捕获和高温下的释放使得在很宽的温度范围内优化空穴浓度,这一进步可以加速中温热电发电技术的实际应用。
高端表征+理论计算
通过结合理论计算和一系列高端的实验技术,展示了如何通过在PbTe基材料中实现赝纳米结构和动态电荷载流子调控(即陷阱空穴释放)来显著提高热电性能。
理论计算
密度泛函理论(DFT)计算:使用DFT计算来理解Ge原子在PbTe晶格中偏离中心位置的占位情况。计算结果显示Ge原子与周围Te原子的键长不同,这与其他材料中报道的类似偏离中心定位的Ge有一致性。
X射线吸收精细结构(XAFS)
X射线吸收精细结构(XAFS)分析:利用XAFS来研究Ge原子在PbTe晶格中的占位情况。XAFS分析揭示了Ge原子与其周围Te原子的键合情况,从而提供了Ge原子在PbTe晶格中偏离中心位置的证据。 同步辐射X射线对赝纳米结构的表征:利用同步辐射X射线的配对分布函数(PDF)分析揭示了赝纳米结构的存在。这些结构对降低晶格热导率而不显著影响电荷载流子的传输具有重要作用。
球差电镜
高角环形暗场扫描透射电镜(HAADF-STEM):使用HAADF-STEM观察了材料的微观结构。该技术揭示了富含纳米尺度赝纳米结构的存在,这些结构与PbTe基质保持相干,并伴随着大量的晶格应变。这种赝纳米结构对热载流子的散射具有显著效果。 原位低能电子能量损失光谱(EELS):通过EELS在不同温度下研究了Ge原子从偏离中心到中心位置变化的化学键环境。EELS结果揭示了Ge原子偏离中心位置的变化与温度相关,从而支持了陷阱空穴释放机制的存在。
文献信息
Baohai Jia†, Di Wu†, Lin Xie†, Wu Wang, Tian Yu, Shangyang Li, Yan Wang, Yanjun Xu, Binbin Jiang, Zhiquan Chen, Yuxiang Weng, Jiaqing He*, Pseudo-nanostructure and trapped-hole release induce high thermoelectric performance in PbTe, Science. (2024).
DAMO开发者矩阵,由阿里巴巴达摩院和中国互联网协会联合发起,致力于探讨最前沿的技术趋势与应用成果,搭建高质量的交流与分享平台,推动技术创新与产业应用链接,围绕“人工智能与新型计算”构建开放共享的开发者生态。
更多推荐



所有评论(0)