三相电力系统的相序分析与计算方法
介绍了三相电力系统三相不平衡时的三相分量的分解。通过图解法和公式法求解正序、负序、零序分量的方法
三相电力系统在对称、稳态情况下,三相电压、电流应该给幅值相等、相位相差120°的对称波形。相量图中,该对称、稳态三相波形应该是向一个方向旋转的矢量圆。但是实际系统中,往往由于各种原因,三相幅值各不相同,方向差也可能不是120°,导致三相不平衡。分析次类系统,就可以将三相电力系统的相序分解成正序、负序、零序三相系统。将各相的正序、负序、零序向量按照矢量合成的规则合成后就可以得到实际系统的相量。
规定:三相系统中,逆时针为旋转的正方向!!
在三相电力系统中,各相电压或电流依其先后顺序分别达到最大值(以正半波幅值为准)的次序,称为相序。
正相序:分别达到最大值的次序为A、B、C;
负相序:分别达到最大值的次序为A、C、B


正序、负序、零序向量的分解(对称分量法)




零序分量作图方法:
三个向量不动,相量相加后除以3;

正序分量作图方法:
将bc相指针拨动到a相附近,即b相逆时针旋转120°,c相顺时针旋转120°,此时三相量相加(较长)除以3,即为正序。

负序分量作图方法:
将bc相指针拨动互换位置附近,即b相顺时针旋转120°,c相逆时针旋转120°,此时三相量相加(较短)除以3,即为负序。

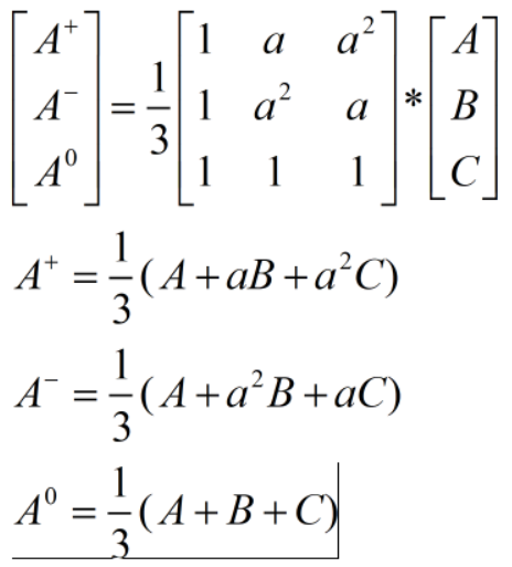
公式法:
复数算子a,相当于在复平面上逆时针旋转120°,其共轭相当于顺时针旋转120°。a的放到复数形式是:
已知三相向量,包含其幅值和相角,我们需要求解其正序、负序和零序分量,这些分量可以用矩阵的形式来表示。


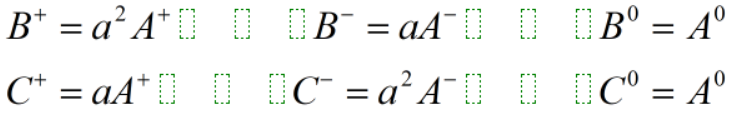
和作图方法是一样的。得到A相的正负零序后,通过旋转可得到BC相的正负零序。

DAMO开发者矩阵,由阿里巴巴达摩院和中国互联网协会联合发起,致力于探讨最前沿的技术趋势与应用成果,搭建高质量的交流与分享平台,推动技术创新与产业应用链接,围绕“人工智能与新型计算”构建开放共享的开发者生态。
更多推荐


所有评论(0)