像素间各种距离的定义及计算方法
像素是一幅数字图像最基本的构成元素。理解像素间的一些基本关系是进行数字图像处理的基础和关键。如相邻像素(像素的邻域),像素的邻接性、连通性、区域和边界。本篇博文主要关注像素间各种距离的定义。像素距离的定义对于像素p(x , y),q(s , t),z(v , w),用D(p , q)来表示像素p , q间的距离,像素间距离的(D(x , y)应满足的如下条件:D(p , q) ≥ 0....
像素是一幅数字图像最基本的构成元素。
理解像素间的一些基本关系是进行数字图像处理的基础和关键。如相邻像素(像素的邻域),像素的邻接性、连通性、区域和边界。
本篇博文主要关注像素间各种距离的定义。
像素距离的定义
对于像素p(x , y),q(s , t),z(v , w),用D(p , q)来表示像素p , q间的距离,像素间距离的(D(x , y)应满足的如下条件:
- D(p , q) ≥ 0.(当且仅当p = q);
- D(p , q) = D(q , p);
- D(p , q) + D(q , z) ≥ D(p , z);
像素距离的分类及计算方法
-
欧式距离(Euclidean Distance)
欧式距离就是数学中学习的直线距离公式:
-
D4距离(城区距离,City-Block Distance)
D4模型只能走横竖两个方向,不能走斜向。两个点的距离就是横向加竖向的距离之和。公式如下:

街区模型图如下:
-
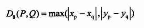
D8距离(棋盘距离Chess Board Distance,可直线可斜线)
D8的模型就是围着P点的所有元素都是相邻的,也就是它下一步可以走到包围它的八个点的任何一个,也就是横竖和斜向。
对于可以横竖和斜向走的最短距离,竟然就是横向或竖向的距离的最大值。公式如下:

这是棋盘模型下图所示:
DAMO开发者矩阵,由阿里巴巴达摩院和中国互联网协会联合发起,致力于探讨最前沿的技术趋势与应用成果,搭建高质量的交流与分享平台,推动技术创新与产业应用链接,围绕“人工智能与新型计算”构建开放共享的开发者生态。
更多推荐
所有评论(0)