高密度DTC硅电容量产上市——森丸电子发布系列芯片电容产品
DTC电容由于其出色的电气性能,如低ESR,ESL和插入损耗,以及出色的频率稳定性特点,在光电领域主要应用于高速收发模块(DSP、SerDes、Driver、PA)的PDN供电网络的去耦电容,以及信号线的耦合电容等。玻璃基材具有更好的机械稳定性,更低的电学损耗,能应用在更高频的领域,适合与MIM电容的结合应用。SW-MIS硅电容具有高精度,小体积,低温漂系数,高稳定性等优势,广泛应用于需要阻断直流


每一次材料革命,都在重塑电子产业的未来。传统MLCC的物理极限,正成为高端电子设备的性能瓶颈。
硅电容:被动电子元件的革命性突破
硅电容(Silicon Capacitor)采用单晶硅衬底,通过深槽刻蚀技术在硅晶圆上构建三维微结构,再通过一系列薄膜沉积与刻蚀工艺实现高纯度电介质层。这种融合半导体制造工艺的创新设计,使电容性能获得了质的飞跃:
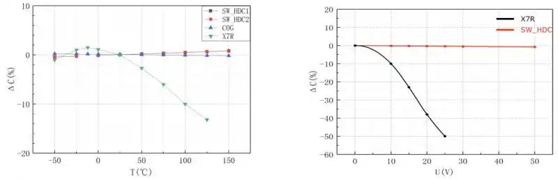
· 卓越的容值稳定性:包括温度、偏压和老化特性引起的容值漂移,不到MLCC的1/10;
· 超薄形态:可实现低于50微米的超薄厚度,甚至不到头发丝直径;
· 超高密度:单位面积容量提升10倍以上;
· 极低的ESL和ESR:保证信号完整性,降低电源燥声和阻抗。
传统MLCC采用陶瓷粉未堆叠烧结工艺,存在先天不足:陶瓷层间易产生微裂纹,高温烧结导致内部应力积聚,多层结构带来高寄生电感。而硅电容的单晶硅基底具有高度有序的原子排列,无晶界缺陷,从根本上解决了这些痛点。
硅电容并非对MLCC的简单改良,而是一种基于半导体工艺的根本性技术革新。其优势体现在多个维度,直接解决了MLCC在高性能应用中长期存在的“隐性妥协”。在5G/6G通信、高速处理器(如AI、HPC)的电源分配网络 (PDN)、汽车电子(如ADAS、BMS)、医疗设备(植入式与体外诊断)等高端领域,硅电容正快速取代传统MLCC,通过减少所需元件数量或提升系统整体可靠性,成为新一代电子系统的“性能心脏”。
电子产品发展趋势推动电容器突破性能边界
终端轻薄化趋势下,电容器向“五高一小”发展:
“五高”:高容、高频、耐高温、耐高压、高可靠性;“一小”:小型化,即 0201,01005 等小尺寸占比提升。
· 5G/6G通信
通信带宽走向高频后,信号路径上的损耗变得不可接受,这要求电容器具有更高的Q值和更高的SRF(自谐振频率)。同时,为了集成到天线阵列和小型化模块(如AiP)中,对电容器的小型化要求也达到了极致,01005乃至更小的008004尺寸已成为研发重点。
· 汽车电子
ADAS、LiDAR、车载信息娱乐和动力总成电气化等应用,不仅需要海量的电容器,更对可靠性耐高温(-55℃至+250℃)和耐高压提出了严苛要求。
· 高性能计算(HPC)与AI数据中心
新一代CPU、GPU和AI加速器对功率的需求呈指数级增长,其PDN供电网络设计面临着巨大的挑战。为了给这些高功耗芯片提供稳定、洁净的电源,需要最先进的电源完整性解决方案。这直接驱动了对超低ESL(如IDC、LGA)和超高电容密度电容器的持续创新。同时也是CPO等下一代封装技术发展的关键推动力之一。
森丸电子发布多款量产硅电容产品性能比肩村田等国际大厂
森丸电子团队深耕行业十余年,致力于推动全面无源集成时代,是国内首家掌握硅电容设计+制造全链技术的创新企业。目前基于森丸平台的多款硅电容产品已经实现头部客户的量产交付,累计交付硅电容数亿颗。
1)沟槽硅电容DTC
基于森丸高密度电容工艺平台开发制备,采用深硅刻蚀、薄膜沉积和图形化等半导体工艺制程。森丸DTC电容具有高电容密度、高耐压,低寄生、高稳定可靠等优势,广泛应用于射频电路、电源稳压、光通信等领域。
应用领域
DTC电容由于其出色的电气性能,如低ESR,ESL和插入损耗,以及出色的频率稳定性特点,在光电领域主要应用于高速收发模块(DSP、SerDes、Driver、PA)的PDN供电网络的去耦电容,以及信号线的耦合电容等。这类高功耗、极高速率的应用场景,对电源的稳定、干净和信号完整性有着极为严苛的要求,需要确保极低的阻抗以及插入损耗,减少噪声对信号传输的影响,提高信号的信噪比和稳定性。

DTC硅电容在光通信中应用示意图
主要参数
参数以SWAK0505A/B1R0为例,具体器件有差别,详情可查询森丸电子官网
产品容值表
典型产品参数
温漂测试曲线和直流偏压测试曲线(SWAK0505A/B1R0)
ESR测试曲线和容值频率特性曲线(SWAK0505A/B1R0)
2)MIM表贴硅电容
SW-MIM硅电容采用平面薄膜沉积和图形化工艺,薄膜工艺使其具有高精度和良好的频率特性,具有高精度,小体积,低温漂系数,高稳定性等优势。
应用领域
MIM电容的小体积优势适合高密度集成,低温漂系数确保在不同温度环境下电容值变化小,保证电路性能的稳定性,广泛应用于射频匹配电路等。
MIM电容在射频电路中应用示意图
主要参数

更具体性能按器件型号不同,可查询森丸电子官网
产品容值表
MIS硅电容
基于森丸高精度电容工艺平台开发制备,金属_绝缘体_半导体的结构赋予其高耐压和高稳定性。适用于打线等组装工艺,能与多种半导体器件良好兼容,广泛应用于射频电路、光通信等领域。
应用领域
SW-MIS硅电容具有高精度,小体积,低温漂系数,高稳定性等优势,广泛应用于需要阻断直流或者射频旁路的系统(耦合)、滤波器、振荡器,和匹配网络等,小体积优势有利于系统的集成。

DC Blocking应用示意图
主要参数
更具体性能按器件型号不同,可查询森丸电子官网
产品容值表
4)玻璃电容
SW-GMIM电容基于森丸高精度玻璃工艺平台开发制备,采用TGV、平面薄膜沉积和图形化等半导体工艺制程。玻璃基材具有更好的机械稳定性,更低的电学损耗,能应用在更高频的领域,适合与MIM电容的结合应用。玻璃MIM电容具有高击穿电压,高Q值与高稳定性,产品采用TGV连接背面金属接地,采用引线键合焊盘结构,方便打线应用。
应用领域
SW-GMIM电容具有高精度,小体积,低温漂系数,高稳定性等优势,广泛应用于射频中匹配电路和光通信等。
GMIM电容在光通信电路中的应用示意图
主要参数

更具体性能按器件型号不同,可查询森丸电子官网
产品容值表
DAMO开发者矩阵,由阿里巴巴达摩院和中国互联网协会联合发起,致力于探讨最前沿的技术趋势与应用成果,搭建高质量的交流与分享平台,推动技术创新与产业应用链接,围绕“人工智能与新型计算”构建开放共享的开发者生态。
更多推荐



所有评论(0)