电流采样差分放大电路中偏置电压计算
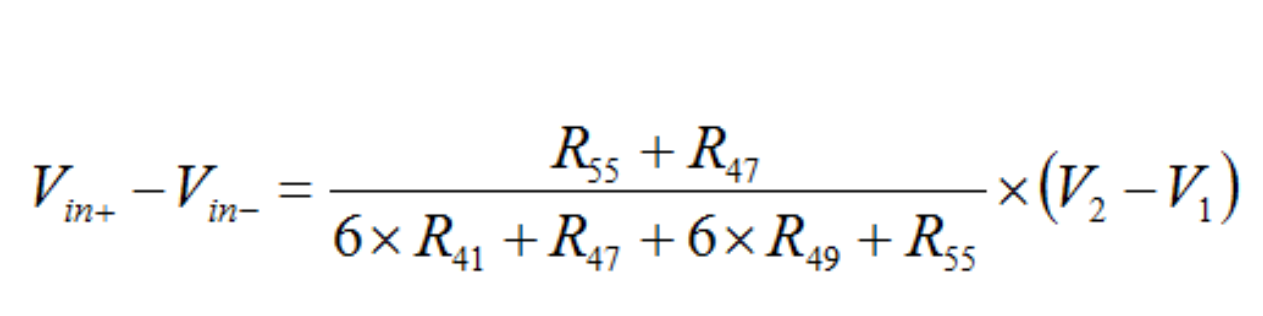
R26和R27构成了5V的分压电路,用于给输入信号提供电压偏置。
·
R26和R27构成了5V的分压电路,用于给输入信号提供电压偏置。

为什么要对输出电压进行偏移?
因为如当采集负值时,我们的采样芯片和MCU几乎都不支持负值采样的时候,你就必须进行偏移,使得输出总是为正值。偏移电路,如图,在原来同相端电阻接地GND的地方,我们接一个电压值,通常也称为偏移电压。

如何进行偏移?

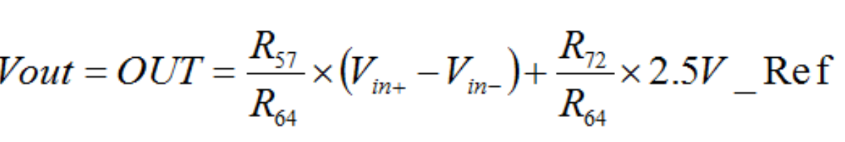
这里公式的成立,保证R64=R72,R73=R57,那么最终得到偏移公式是在原来基础上加个电压偏移量2.5V_Ref:


利用运放的虚短特点,可将电路等效为:



上图电路,输入电压变为-100V,那么最终输出电压就为:

这样就将负电压偏移为正电压,处理器符合处理器处理要求了,偏移电路在采集如交流电、以及存在负直流电压的控制电路中广泛使用。
DAMO开发者矩阵,由阿里巴巴达摩院和中国互联网协会联合发起,致力于探讨最前沿的技术趋势与应用成果,搭建高质量的交流与分享平台,推动技术创新与产业应用链接,围绕“人工智能与新型计算”构建开放共享的开发者生态。
更多推荐

所有评论(0)