多目标规划(数学建模)
问题简介既要xxx,又要xxx。例:某工厂生产产品I和产品II,有关数据如下,若要满足以下三个条件:1.尽量使产品I的产量不超过产品II的产量;2.尽可能充分利用所有设备;3.尽可能使利润不少于56万。那么我们该如何建立模型呢?注:需要衡量每个目标的完成情况,并主管上区分三个目标的重要性,使得整体的完成情况尽量好。、接下来介绍几个重要的概念:1.正负偏差变量:正偏差就是超过目标的值的量,比如这个问
问题简介
既要xxx,又要xxx。
例:
某工厂生产产品I和产品II,有关数据如下,若要满足以下三个条件:1.尽量使产品I的产量不超过产品II的产量;2.尽可能充分利用所有设备;3.尽可能使利润不少于56万。那么我们该如何建立模型呢?
注:需要衡量每个目标的完成情况,并主管上区分三个目标的重要性,使得整体的完成情况尽量好。、
接下来介绍几个重要的概念:
1.正负偏差变量:正偏差就是超过目标的值的量,比如这个问题,如果我们这个最终利润是60万,而目标值是54万,则我们超过了6万,也就是正偏差为6。而负偏差则与他相反。
2.绝对约束:必须满足的条件。
3.目标约束:对不等式右端的值允许有偏差,这的“偏差”就是加入正负偏差变量。
4.优先因子:通过主观上去确定每个条件的重要性。
对条件的分析:
1.不超过目标值------正偏差变量越小越好。
2.恰好达到目标值------正负偏差都尽量小。
3.不少于目标值------负偏差越小越好。
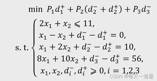
建立模型
把所有的约束条件都加上负偏差变量-正偏差变量变成等式,然后按照需求,主观确定优先因子p,最后得到如下模型:
DAMO开发者矩阵,由阿里巴巴达摩院和中国互联网协会联合发起,致力于探讨最前沿的技术趋势与应用成果,搭建高质量的交流与分享平台,推动技术创新与产业应用链接,围绕“人工智能与新型计算”构建开放共享的开发者生态。
更多推荐



所有评论(0)