多模态对比互学习和伪标签再学习半监督医学图像分割
多模态半监督模型提出一种新的对比损失函数最小化两种图像模态的差异伪标签再学习解决不同模态之间存在的预测效果差异将高性能模态的模型用作具有更高置信度的教师模型在推理阶段仅使用一种模态进行分割利用损失函数减少模态之间的异质性利用mean-teacher模型减少预测的输入模态利用伪标签再学习方法提升鲁棒性利用BMA参数更新提升模型准确性。
·
文章目录
Multi-modal contrastive mutual learning and pseudo-label re-learning for semi-supervised medical image segmentation
摘要
- 多模态半监督模型
- 提出一种新的对比损失函数最小化两种图像模态的差异
- 伪标签再学习解决不同模态之间存在的预测效果差异
- 将高性能模态的模型用作具有更高置信度的教师模型
- 在推理阶段仅使用一种模态进行分割
本文方法

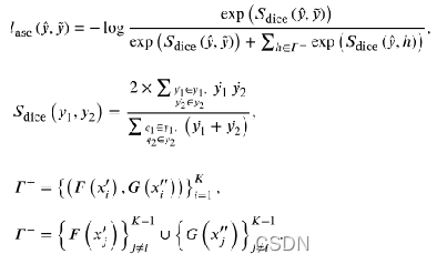
无监督损失函数
伪标签再学习策略
- EMA加权模型和贝叶斯近似的dropout
- HP:表现最好的模型
- BMP:动态存储表现最好的模型
实验结果



总结
- 利用损失函数减少模态之间的异质性
- 利用mean-teacher模型减少预测的输入模态
- 利用伪标签再学习方法提升鲁棒性
- 利用BMA参数更新提升模型准确性
DAMO开发者矩阵,由阿里巴巴达摩院和中国互联网协会联合发起,致力于探讨最前沿的技术趋势与应用成果,搭建高质量的交流与分享平台,推动技术创新与产业应用链接,围绕“人工智能与新型计算”构建开放共享的开发者生态。
更多推荐


所有评论(0)