【应用统计学】概率的基本概念
贝叶斯公式也称为贝叶斯法则。尽管它是一个数学公式,但其原理毋需数字也可明了。如果你看到一个人总是做一些好事,则那个人多半会是一个好人。这就是说,当你不能准确知悉一个事物的本质时,你可以依靠与事物特定本质相关的事件出现的多少去判断其本质属性的概率。 用数学语言表达就是:支持某项属性的事件发生得愈多,则该属性成立的可能性就愈大。
一、古典概率
设随机试验具有如下特征:
(1)试验的可能结果只有有限个;(2)各个可能结果出现是等可能的.则称试验为古典概率.

否则
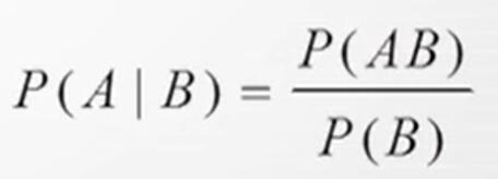
二、条件概率
己知事件B发生,则在此条件下事件A发生的概率是多少?这时所求的概率称为条件概率,记为P(A|B),其计算公式为 :

从条件概率公式我们可以得到以下的“乘法公式”


三、全概率公式


四、贝叶斯公式
贝叶斯公式也称为贝叶斯法则。尽管它是一个数学公式,但其原理毋需数字也可明了。如果你看到一个人总是做一些好事,则那个人多半会是一个好人。这就是说,当你不能准确知悉一个事物的本质时,你可以依靠与事物特定本质相关的事件出现的多少去判断其本质属性的概率。 用数学语言表达就是:支持某项属性的事件发生得愈多,则该属性成立的可能性就愈大。



五、事件的独立性
在对某公司员工的工作情况的调查中,员工对自动售货机的看法和对团队精神的看法是相互独立,两个调查结果不会相互影响等等。这时,P(A|B)=P(A),即事件B发生与否对事件A没有影响,就说明事件A与事件B两者的出现存在某种“独立性”,这时,由“乘法公式”可知:P(AB)=P(B)P(A)。
数学上定义为:
对于事件A与B,若P(AB)=P(B)P(A),则称它们是统计独立的,简称相互独立。
DAMO开发者矩阵,由阿里巴巴达摩院和中国互联网协会联合发起,致力于探讨最前沿的技术趋势与应用成果,搭建高质量的交流与分享平台,推动技术创新与产业应用链接,围绕“人工智能与新型计算”构建开放共享的开发者生态。
更多推荐



所有评论(0)