Python机器学习之k-means聚类算法
1 引言所谓聚类,就是按照某个特定的标准将一个数据集划分成不同的多个类或者簇,使得同一个簇内的数据对象的相似性尽可能大,同时不再一个簇内的数据对象的差异性也尽可能大,聚类算法属于无监督学习算法的一种.k-均值聚类的目的是:把n个点(可以是样本的一次观察或一个实例)划分到k个聚类中,使得每个点都属于离他最近的均值(此即聚类中心)对应的聚类,以之作为聚类的标准。2 K-Meansk-均值聚类算法属于最
1 引言
所谓聚类,就是按照某个特定的标准将一个数据集划分成不同的多个类或者簇,使得同一个簇内的数据对象的相似性尽可能大,同时不再一个簇内的数据对象的差异性也尽可能大,聚类算法属于无监督学习算法的一种.
k-均值聚类的目的是:把 n个点(可以是样本的一次观察或一个实例)划分到k个聚类中,使得每个点都属于离他最近的均值(此即聚类中心)对应的聚类,以之作为聚类的标准。
2 K-Means
k-均值聚类算法属于最基础的聚类算法,该算法是一种迭代的算法,将规模为n的数据集基于数据间的相似性以及距离簇内中心点的距离划分成k簇.这里的k通常是由用户自己指定的簇的个数,也就是我们聚类的类别个数.
该算法的一般步骤如下:
- step1 选择k,来指定我们需要聚类的类别数目.参考上图a,这里k=2.
- step2 从数据集中随机选择k个样本作为我们不同类别的类内的中心点.参考图b中红色和蓝色x字
- step3 对数据集中的每一个样本,计算该样本到k个中心点的距离,选择距离该样本最近的中心点的类别作为该样本的类别.参考上图c.
- step4 根据上一步重新指定的样本的类别,计算每个类别的类内中心点.图d所示,重新计算的类内中心点为红色和蓝色x字.
- step5 重复步骤3,为数据集中的每个样本重新分配距离其最近的中心点的类别.图e所示.
- step6 如果给每个样本分配的类别发生改变,则进入step4,否则进入step7
- step7 算法结束.图f所示.
3 K值确定
通过上述描述,我们基本理解了k-means算法工作的原理,但是遗留给我们的问题是这个k值要如何确定呢?由于这个值是算法的输入,需要用户自行指定,当然不可以随便拍脑袋想了.这里介绍一种常用的WCSS方法来进行k值的选择.
WCSS算法是Within-Cluster-Sum-of-Squares的简称,中文翻译为最小簇内节点平方偏差之和.白话就是我们每选择一个k,进行k-means后就可以计算每个样本到簇内中心点的距离偏差之和, 我们希望聚类后的效果是对每个样本距离其簇内中心点的距离最小,基于此我们选择k值的步骤如下:
- step1 选择不同的k值(比如1-14),对数据样本执行k-means算法
- step2 对于每个k值,计算相应的WCSS值
- step3 画出WCSS值随着k值变化的曲线
- step4 一般来说WCSS值应该随着K的增加而减小,然后趋于平缓,选择当WCSS开始趋于平衡时的K的取值.上图中可以选择6-10之间的值作为k值.
4 代码实现
4.1 样例数据分布
我们使用python生成我们的数据代码如下:
from clustering__utils import *
x1, y1, x2, y2 = synthData()
X1 = np.array([x1, y1]).T
X2 = np.array([x2, y2]).T
结果如下:
4.2 实现K-means
参考上述原理,我们来实现kMeans,我们将其封装成类,代码如下:
class kMeans(Distance):
def __init__(self, K=2, iters=16, seed=1):
super(kMeans, self).__init__()
self._K = K
self._iters = iters
self._seed = seed
self._C = None
def _FNC(self, x, c, n):
# for each point,
# find the nearest center
cmp = np.ndarray(n, dtype=int)
for i, p in enumerate(x):
d = self.distance(p, self._C)
cmp[i] = np.argmin(d)
return cmp
def pred(self, X):
# prediction
n, dim = X.shape
np.random.seed(self._seed)
sel = np.random.randint(0, n, self._K)
self._C = X[sel]
cmp = self._FNC(X, self._C, n)
for _ in range(self._iters):
# adjust position of centroids
# to the mean value
for i in range(sel.size):
P = X[cmp == i]
self._C[i] = np.mean(P, axis=0)
cmp = self._FNC(X, self._C, n)
return cmp, self._C
上述代码中:
- FNC函数中x为输入样本,c为聚类中心点,n为样本数目,该函数为每个样本计算其最近的中心点
- pred函数首先重新计算样本中心点,然后基于此给样本数据重新分配所属类别.返回值为n个样本所属中心点以及中心点的位置.
4.3 确定k
我们使用以下代码,计算不同k值下的WCSS的值
# elbow method
Cs = 12
V1 = np.zeros(Cs)
V2 = np.zeros(Cs)
D = Distance()
for k in range(Cs):
kmeans = kMeans(K=k + 1, seed=6)
fnc1, C1 = kmeans.pred(X1)
fnc2, C2 = kmeans.pred(X2)
for i, [c1, c2] in enumerate(zip(C1, C2)):
d1 = D.distance(c1, X1[fnc1 == i])**2
d2 = D.distance(c2, X2[fnc2 == i])**2
V1[k] += np.sum(d1)
V2[k] += np.sum(d2)
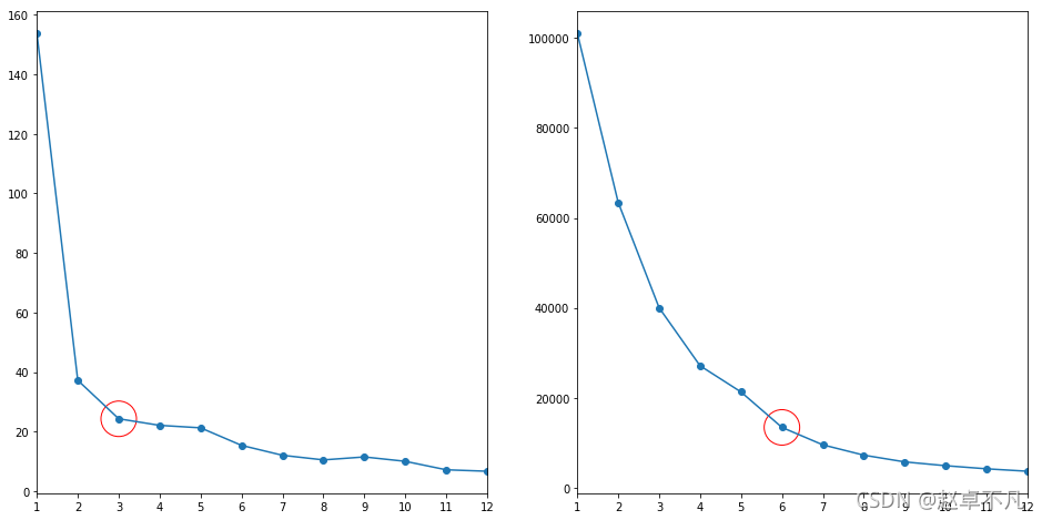
结果如下:
这里我们对第一组数据,选择k=3,针对第二组数据选择k=6,示例如上图红色圆圈所示.
4.4 最终效果
我们根据上述选定的k值,可视化两组数据迭代过程,代码如下:
iters = 20; seed = 6
K1 = 3
kmeans1 = kMeans(K1, iters, seed)
fnc1, C1 = kmeans1.pred(X1)
K2 = 6
kmeans2 = kMeans(K2, iters, seed)
fnc2, C2 = kmeans2.pred(X2)
运行结果如下:
5 总结
本文介绍了机器学习领域中k-means进行聚类的原理以及相应的代码实现,并给出了完整的代码示例.
您学废了吗?
6 参考
关注公众号《AI算法之道》,获取更多AI算法资讯。

注: 完整代码,关注公众号,后台回复 kMeans , 即可获取。
DAMO开发者矩阵,由阿里巴巴达摩院和中国互联网协会联合发起,致力于探讨最前沿的技术趋势与应用成果,搭建高质量的交流与分享平台,推动技术创新与产业应用链接,围绕“人工智能与新型计算”构建开放共享的开发者生态。
更多推荐



所有评论(0)