地级市市场化指数+樊纲市场化指数(包含分省、市两份数据)
地级市市场化指数+樊纲市场化指数(包含分省、市两份数据)
一、地级市市场化指数
1、数据来源:各省份年鉴以及地级市统计公报
2、时间跨度:1998-2020年
3、区域范围:422(城市和区)
4、指标说明:
依据樊纲市场化各指标,结合各地级市的相关数据算出来,数据仅供参考
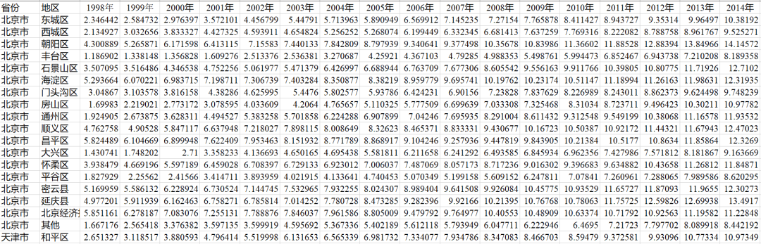
部分数据如下:

二、樊纲市场化指数
1、数据来源:见文件说明
2、时间跨度:1997-2019年
3、区域范围:全国31个省份
4、指标说明:
关于中国各地区市场化进程的研究是一项连续性工作,市场化指数可以更加准确地反映各地区市场化进程的各个方面。此次分享的市场化指数包含总指标以及各个分项:政府与市场关系得分、非国有经济发展得分、产品市场发育得分、要素市场发育得分、中介组织发育和法律得分。此外,此次分享还包含计算过程的stata do文件,以及相关计算数据,方便大家使用。

相关文献:
[1]曾繁华, 吴阳芬. 财政分权,市场化与经济增长的实证研究[J]. 统计与决策, 2020, v.36;No.549(09):96-101.
[2]林永生, 郭治鑫, 吴其倡. 中国市场化改革绩效评估[J]. 北京师范大学学报(社会科学版), 2019, 000(001):147-157.
[3]陈鹏程, 田旭, 何军. 市场发育,劳动合同异质性与农民工工资的溢价效应——基于CHIP数据的实证研究[J]. 农业技术经济, 2019(6):107-119.
[4]赵忠, 何汉儒. 我国市场化程度与城镇劳动力教育回报率变动趋势研究[J]. 江淮论坛, 2020, 000(001):67-76.
download链接: 市场指数数据集(1998-2020).zip-数据集文档类资源-CSDN下载
DAMO开发者矩阵,由阿里巴巴达摩院和中国互联网协会联合发起,致力于探讨最前沿的技术趋势与应用成果,搭建高质量的交流与分享平台,推动技术创新与产业应用链接,围绕“人工智能与新型计算”构建开放共享的开发者生态。
更多推荐




所有评论(0)