电阻功耗怎么计算?
计算电阻的功耗对于保障电路的安全性、可靠性以及优化设计都是至关重要的。这不仅能保护单个电阻免受损害,也能维护整个电路系统的稳定性。
计算电阻的功耗对于保障电路的安全性、可靠性以及优化设计都是至关重要的。这不仅能保护单个电阻免受损害,也能维护整个电路系统的稳定性。
一、电阻功耗的计算公式
电阻的功耗可以通过几种不同的公式来计算,这取决于你手头已知的信息。功耗通常用瓦特(W)表示。以下是几种计算电阻功耗的方法:
1、使用电压和电流:
如果知道 电阻两端的电压V 和 流过电阻的电流I,那么:

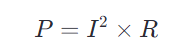
2、使用电阻值和电流:
如果知道 电阻的阻值R 和 流过电阻的电流I,那么:

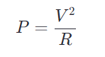
3、使用电压和电阻值:
如果知道 电阻两端的电压V 和 电阻的阻值R,那么:

以上:
- P是电阻消耗的功率,单位是瓦特(W)。
- V是电阻两端的电压,单位是伏特(V)。
- I是通过电阻的电流,单位是安培(A)。
- R是电阻值,单位是欧姆(Ω)。
这三个公式都是基于欧姆定律和电功率的基本定义,它们之间可以相互转换。具体使用哪个公式取决于你手头上有的数据。
二、应用举例
知道流过电阻的电流为50mA,电阻为100Ω,计算功耗:
1.知道电流和电阻值,使用公式二:;
2.电流需要先将毫安(mA)单位 转换为 安培(A)单位:
3.将以上值带入公式中:

该电阻的功耗为0.25瓦特(W)。这意味着,在给定条件下,电阻会消耗0.25W的功率。
在实际应用中,为了确保电路的安全性和可靠性,一般电阻会进行降额50%以上使用。例如,如果你计算出一个电阻的功耗为0.5瓦,通常你会选择额定功率至少为1瓦的电阻,以保证有足够的安全裕量。
这是因为电阻在实际工作时可能会遇到超出预期的情况,如瞬态电压尖峰或环境温度升高等,这些都可能导致功耗暂时增加。
DAMO开发者矩阵,由阿里巴巴达摩院和中国互联网协会联合发起,致力于探讨最前沿的技术趋势与应用成果,搭建高质量的交流与分享平台,推动技术创新与产业应用链接,围绕“人工智能与新型计算”构建开放共享的开发者生态。
更多推荐



所有评论(0)