深蓝学院高翔《自动驾驶与机器人中的SLAM技术》第三章作业
《自动驾驶与机器人中的SLAM技术》深蓝学院第三章习题惯性导航与组合导航
·
第三章
第一题

第二题
- 右乘模式下的dx更新

- 左乘模式下的dx更新

PS: 噪声不参与计算
// 右乘模式下的dx更新
auto update_dx_r = [&](Vec18T& dx) {
dx.template block<3, 1>(0, 0) += dt * dx.template block<3, 1>(3, 0); // &p
dx_.template block<3, 1>(3, 0) += dt * (-R_.matrix() * SO3::hat(imu.acce_ - ba_) * dx.template block<3, 1>(6, 0)
- R_.matrix() * dx.template block<3, 1>(12, 0)
+ dx.template block<3, 1>(15, 0)); // &v
dx_.template block<3, 1>(6, 0) = (SO3::exp(-(imu.gyro_ - bg_) * dt).matrix()) * dx.template block<3, 1>(6, 0)
- dt * dx.template block<3, 1>(9, 0); // &theta
};
// 左乘模式下的dx更新
auto update_dx_l = [&](Vec18T& dx) {
dx.template block<3, 1>(0, 0) += dt * dx.template block<3, 1>(3, 0); // &p
dx_.template block<3, 1>(3, 0) += dt * (-SO3::hat(R_.matrix() * (imu.acce_ - ba_)) * dx.template block<3, 1>(6, 0)
- R_.matrix() * dx.template block<3, 1>(12, 0)
+ dx.template block<3, 1>(15, 0)); // &v
dx_.template block<3, 1>(6, 0) = - dt * R_.matrix() * dx.template block<3, 1>(9, 0); // &theta
};
- 记录运行时间
Timer timer;
timer.start();
bool with_less = true;
if (!with_less) {
dx_ = F * dx_;
}
else {
// update_dx_r(dx_);
update_dx_l(dx_);
}
timer.stop();
std::cout << "运行时间:" << timer.elapsed() << " 微秒" << std::endl;
-
修改前:

-
修改后:

可以很明显的观察到拆分计算后相对于矩阵运算运行时间加快。
第三题
左乘推导过程中,误差变量的运动方程中只有速度与旋转和右乘不同

- 根据上图公式修改 Predict() 中 F 矩阵的推导
Mat18T F = Mat18T::Identity(); // 主对角线
F.template block<3, 3>(0, 3) = Mat3T::Identity() * dt; // p 对 v
// F.template block<3, 3>(3, 6) = -R_.matrix() * SO3::hat(imu.acce_ - ba_) * dt; // v对theta 右乘
F.template block<3, 3>(3, 6) = -SO3::hat(R_.matrix() * (imu.acce_ - ba_)) * dt; // v对theta 左乘
F.template block<3, 3>(3, 12) = -R_.matrix() * dt; // v 对 ba
F.template block<3, 3>(3, 15) = Mat3T::Identity() * dt; // v 对 g
// F.template block<3, 3>(6, 6) = SO3::exp(-(imu.gyro_ - bg_) * dt).matrix(); // theta 对 theta 右乘
// F.template block<3, 3>(6, 9) = -Mat3T::Identity() * dt; // theta 对 bg 右乘
F.template block<3, 3>(6, 9) = -R_.matrix() * dt; // theta 对 bg 左乘
- 根据左乘公式修改 UpdateAndReset() 中对 名义状态变量 根据 误差 dx_ 的更新
/// 更新名义状态变量,重置error state
void UpdateAndReset() {
p_ += dx_.template block<3, 1>(0, 0);
v_ += dx_.template block<3, 1>(3, 0);
// R_ = R_ * SO3::exp(dx_.template block<3, 1>(6, 0)); // !!!!改为左乘
R_ = SO3::exp(dx_.template block<3, 1>(6, 0)) * R_;
if (options_.update_bias_gyro_) {
bg_ += dx_.template block<3, 1>(9, 0);
}
if (options_.update_bias_acce_) {
ba_ += dx_.template block<3, 1>(12, 0);
}
g_ += dx_.template block<3, 1>(15, 0);
// 以上为均值部分的误差更新,更新后可以简单的实现为dx_=0
// 下面为协方差的更新,需要考虑重置后的切空间投影
ProjectCov();
dx_.setZero();
}
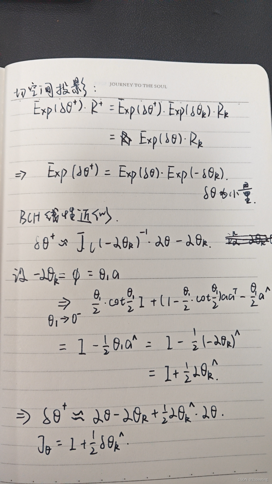
- 切空间投影同样需要修改,推导公式如下图

/// 对P阵进行投影,参考式(3.63)
void ProjectCov() {
Mat18T J = Mat18T::Identity();
// 右乘
// J.template block<3, 3>(6, 6) = Mat3T::Identity() - 0.5 * SO3::hat(dx_.template block<3, 1>(6, 0));
// 左乘
J.template block<3, 3>(6, 6) = Mat3T::Identity() + 0.5 * SO3::hat(dx_.template block<3, 1>(6, 0));
cov_ = J * cov_ * J.transpose();
}
- 观测过程同样需要修改成为 左乘 方式,根据下图公式修改 ObserveSE3()

// 更新x和cov
Vec6d innov = Vec6d::Zero();
innov.template head<3>() = (pose.translation() - p_); // 平移部分
// innov.template tail<3>() = (R_.inverse() * pose.so3()).log(); // 旋转部分(3.67) 右乘
innov.template tail<3>() = (pose.so3() * R_.inverse()).log(); // 旋转部分 左乘
第二题与第三题修改过后的运行结果,如下图
使用odom观测修正速度


DAMO开发者矩阵,由阿里巴巴达摩院和中国互联网协会联合发起,致力于探讨最前沿的技术趋势与应用成果,搭建高质量的交流与分享平台,推动技术创新与产业应用链接,围绕“人工智能与新型计算”构建开放共享的开发者生态。
更多推荐



所有评论(0)