如何计算模型以及中间变量的显存占用大小
感谢博主的分享:计算模型以及中间变量的显存占用大小前言OUT OF MEMORY,显然是显存装不下你那么多的模型权重还有中间变量,然后程序奔溃了。怎么办,其实办法有很多,及时清空中间变量,优化代码,减少batch,等等等等,都能够减少显存溢出的风险。但是这篇要说的是上面这一切优化操作的基础,如何去计算我们所使用的显存。学会如何计算出来我们设计的模型以及中间变量所占显存的大小,想必知道了这一点,我们
感谢博主的分享:
计算模型以及中间变量的显存占用大小
前言
OUT OF MEMORY,显然是显存装不下你那么多的模型权重还有中间变量,然后程序奔溃了。怎么办,其实办法有很多,及时清空中间变量,优化代码,减少batch,等等等等,都能够减少显存溢出的风险。
但是这篇要说的是上面这一切优化操作的基础,如何去计算我们所使用的显存。学会如何计算出来我们设计的模型以及中间变量所占显存的大小,想必知道了这一点,我们对自己显存也就会得心应手了。
计算
首先我们应该了解一下基本的数据量信息:
- 1 G = 1024 MB
- 1 M = 1024 KB
- 1 K = 1024 Byte
- 1 B = 8 bit
平常使用的向量所占的空间大小,以Pytorch官方的数据格式为例(所有的深度学习框架数据格式都遵循同一个标准):
我们只需要看左边的信息,在平常的训练中,我们经常使用的一般是这两种类型:
- float32 单精度浮点型
- int32 整型
一般一个8-bit的整型变量所占的空间为1B也就是8bit。而32位的float则占4B也就是32bit。而双精度浮点型double和长整型long在平常的训练中我们一般不会使用。
也就是说,假设有一幅RGB三通道真彩色图片,长宽分别为500 x 500,数据类型为单精度浮点型,那么这张图所占的显存的大小为:500 x 500 x 3 x 4B = 3M。
而一个(256,3,100,100)-(N,C,H,W)的FloatTensor所占的空间为256 x 3 x 100 x 100 x 4B = 31M
2.显存计算–模型与输入
占用显存比较多空间的并不是我们输入图像,而是神经网络中的中间变量以及使用optimizer算法时产生的巨量的中间参数。
我们首先来简单计算一下Vgg16这个net需要占用的显存:
通常一个模型占用的显存也就是两部分:
- 模型自身的参数(params)
- 模型计算产生的中间变量(memory)

我们输入的是一张224x224x3的三通道图像,可以看到一张图像只占用150x4k,但上面标注的是150k,这是因为上图中在计算的时候默认的数据格式是8-bit而不是32-bit,所以最后的结果要乘上一个4。
我们可以看到,左边的memory值代表:图像输入进去,图片以及所产生的中间卷积层所占的空间。我们都知道,这些形形色色的深层卷积层也就是深度神经网络进行“思考”的过程:
图片从3通道变为64 –> 128 –> 256 –> 512 …. 这些都是卷积层,而我们的显存也主要是他们占用了。
还有上面右边的params,这些是神经网络的权重大小,可以看到第一层卷积是3×3,而输入图像的通道是3,输出通道是64,所以很显然,第一个卷积层权重所占的空间是 (3 x 3 x 3) x 64。
另外还有一个需要注意的是中间变量在backward的时候会翻倍!
- 举个例子,下面是一个计算图,输入x,经过中间结果z,然后得到最终变量L:

我们在backward的时候需要保存下来的中间值。输出是L,然后输入x,我们在backward的时候要求L对x的梯度,这个时候就需要在计算链L和x中间的z
dz/dx这个中间值当然要保留下来以用于计算,所以粗略估计,backward的时候中间变量的占用了是forward的两倍。
显存计算–模型详解
有参数的层即会占用显存的层。我们一般的卷积层都会占用显存,而我们经常使用的激活层Relu没有参数就不会占用了。
占用显存的层一般是:
- 卷积层,通常的conv2d
- 全连接层,也就是Linear层
- BatchNorm层
- Embedding层
而不占用显存的则是:
- 刚才说到的激活层Relu等
- 池化层
- Dropout层
具体计算方式:
- Conv2d(Cin, Cout, K): 参数数目:Cin × Cout × K × K
- Linear(M->N): 参数数目:M×N
- BatchNorm(N): 参数数目: 2N
- Embedding(N,W): 参数数目: N × W
3.显存计算–优化器和动量
优化器也会占用我们的显存!
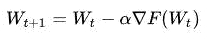
上式是典型的SGD随机下降法的总体公式,权重W在进行更新的时候,会产生保存中间变量:
也就是在优化的时候,模型中的params参数所占用的显存量会翻倍。
当然这只是SGD优化器,其他复杂的优化器如果在计算时需要的中间变量多的时候,就会占用更多的内存。
4.总结:
总结一下,我们在总体的训练中,占用显存大概分以下几类:
- 模型中的参数(卷积层或其他有参数的层)
- 模型在计算时产生的中间参数(也就是输入图像在计算时每一层产生的输入和输出)
- backward的时候产生的额外的中间参数
- 优化器在优化时产生的额外的模型参数
但其实,我们占用的显存空间为什么比我们理论计算的还要大,原因大概是因为深度学习框架一些额外的开销吧,不过如果通过上面公式,理论计算出来的显存和实际不会差太多的。
优化
优化除了算法层的优化,最基本的优化无非也就一下几点:
- 减少输入图像的尺寸
- 减少batch,减少每次的输入图像数量
- 多使用下采样,池化层
- 一些神经网络层可以进行小优化,利用relu层中设 inplace购买显存更大的显卡
- 从深度学习框架上面进行优化
DAMO开发者矩阵,由阿里巴巴达摩院和中国互联网协会联合发起,致力于探讨最前沿的技术趋势与应用成果,搭建高质量的交流与分享平台,推动技术创新与产业应用链接,围绕“人工智能与新型计算”构建开放共享的开发者生态。
更多推荐
所有评论(0)